- 세상의 모든 계산기 자유(질문) 게시판 질문 ()
ti nspire cx cas 질문 드립니다! sto기능 관련
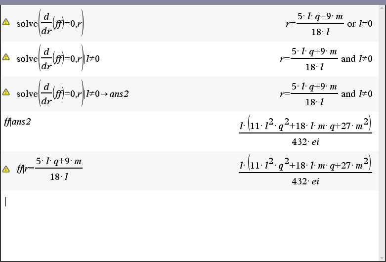
그림과 같이 solve 이용해서 해를 구했는데요,
해 값에 or 이 들어가있는 경우에
해 값을 그대로 가져와서 대입 하려고 하면 에러가 발생합니다.
아래의 예시에서 의미없는 해인 or 뒤에 있는 l=0에 대한 해는 무시하고 sto를 이용해 해를 저장할수 있는 방법이 있을까요?
ff식에 r에 대한 해를 대입할 수 있다면 다른 방법도 관계 없습니다.

참고로 대체변수를 이용해도 마찬가지 ㅜㅠㅠ



오리아빠 님의 최근 댓글
감사합니다 아래의 방법도 적용해보겠습니다 2019 12.02 아 .. 일주일동안 고민했는데 저걸 왜 생각하지 못했을까요 ㅜ너무 감사합니다 ! ㅎ 2019 12.02