• SEARCH

    통합검색
세모계
    • Dark Mode
    • GNB Always Open
    • GNB Height Maximize
    • Color
    • Brightness
    • SINCE 2015.01.19.
    • 세모계 세모계
    •   SEARCH
    • 세상의 모든 계산기
      • 자유(질문) 게시판
      • 계산기 뉴스/정보
      • 수학, 과학, 공학 이야기
      • 세모계 : 공지 게시판
        • 구글 맞춤검색
    • TI
    • CASIO
    • HP
    • SHARP
    • 일반(쌀집) 계산기
    • 기타계산기
    • by OrangeDay
  • 세상의 모든 계산기 자유(질문) 게시판
    • 14px
    × CLOSE
    전체 일반 388 질문 507 웃김 2 팁 & 정보 16 퀴즈 2 리뷰 11 퍼옴 & 링크 6 공지 1
    기본 (943) 제목 날짜 수정 조회 댓글 추천 비추
    분류 정렬 검색
    Ti-nspire cx cas2 리스트 사용법 질문합니다.
    질문
    Ti-nspire cx cas2 리스트 사용법 질문합니다.
    CM 1806 3
    2021.07.25 - 04:33
    Ti-nspire cx cas2 표준편차 질문
    일반
    Ti-nspire cx cas2 표준편차 질문
    CM 1666 2
    2021.07.14 - 23:21
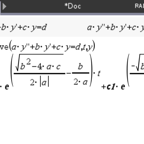
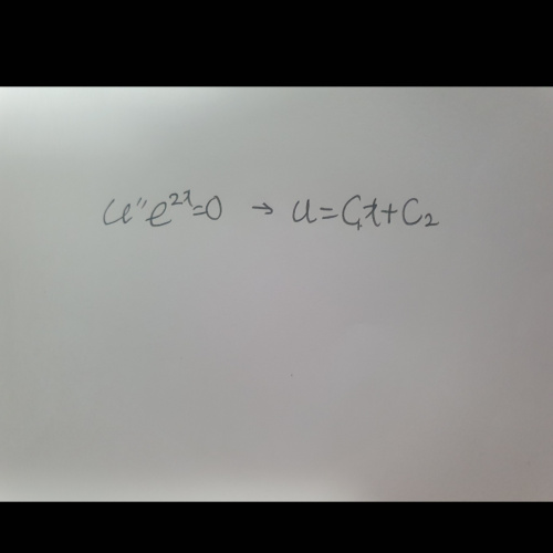
    Ti-nspire cx cas2 n계미분방정식 질문
    질문
    Ti-nspire cx cas2 n계미분방정식 질문
    CM 2089 3
    2021.07.02 - 20:15
    자동차 냉매 보충용 캔 무게를 측정하는 방법?
    일반
    자동차 냉매 보충용 캔 무게를 측정하는 방법?
    세상의모든계산기 1700
    2021.06.19 - 17:10
    질문
    [TI NSPIRE CX CAS] 행렬의 재배열 가능할까요?
    조니 1613 3
    2021.06.17 - 22:00
    질문
    카시오 fx-350ES plus 분수 질문
    Dvskla 2435 1
    2021.06.16 - 20:46
    Ti nspire cas cx n계미분방정식  질문
    질문
    Ti nspire cas cx n계미분방정식 질문

    Titi

    1817 2
    2021.06.07 - 00:35
    Ti nspire cx cas 2 함수정의식내 적분포함시 대입결과값문제발생
    질문
    Ti nspire cx cas 2 함수정의식내 적분포함시 대입결과값문제발생
    계산기배우자 1665 2
    2021.06.07 - 16:25
    Ti nspire cx cas 적분 질문
    질문
    Ti nspire cx cas 적분 질문

    너무 어려워용ㅠ

    1744 1
    2021.06.07 - 03:53
    구글 트렌드 : 계산기 & 공학용 계산기
    일반
    구글 트렌드 : 계산기 & 공학용 계산기
    세상의모든계산기 1669 1
    2021.06.06 - 14:19
    [TI-nspire] 삼각함수가 포함된 solve 문의
    질문
    [TI-nspire] 삼각함수가 포함된 solve 문의
    J P 1847 1
    2021.06.06 - 10:19
    질문
    casio 9860g2에서 x=[1 2 3 4 5 6]일때 lnx에 한번에 넣는 기능이 있을까요?
    hellowolrd 1625 2
    2021.06.05 - 18:55
    Ti nspire cx cas 2 리스트{}내원소 동일구조반복
    질문
    Ti nspire cx cas 2 리스트{}내원소 동일구조반복
    계산기배우자 1966 1
    2021.06.05 - 22:30
    Ti nspire cx cas 2 각도 도분초 초단위소수점아래반올림표현
    질문
    Ti nspire cx cas 2 각도 도분초 초단위소수점아래반올림표현
    계산기배우자 2311 1
    2021.06.03 - 22:47
    [TI-nspire cx 2] 특정 적분결과가 틀리게 출력되는 오류
    일반
    [TI-nspire cx 2] 특정 적분결과가 틀리게 출력되는 오류
    ravit 1935 5
    2021.05.17 - 14:56
    [TI-nspire] 미분방정식 관련 문의
    질문
    [TI-nspire] 미분방정식 관련 문의
    J P 1585 2
    2021.05.30 - 11:17
    일반
    TI의 TI-nspire cx cas 2 버전 업데이트 주기가 어느정도 되나요?
    CM 2016 2
    2021.05.29 - 17:49
    [Ti nspire] 문자를 대입시 결과값이 재대로 출력되지 않습니다
    질문
    [Ti nspire] 문자를 대입시 결과값이 재대로 출력되지 않습니다
    엔스파이어사용자 1750 4
    2021.05.30 - 09:16
    질문
    Ti nspire cx cas에는 저항 병렬 한번에 계산할수 없나요 ?

    Ilililil

    2803 1
    2021.05.30 - 02:53
    안녕하세요 ti nspire 사용중에 계산값이 틀리게 나와 질문드립니다
    질문
    안녕하세요 ti nspire 사용중에 계산값이 틀리게 나와 질문드립니다
    엔스파이어사용자 1751 2
    2021.05.29 - 11:21
    • 1 .. 18 19 20 21 22 23 24 25 26 27 .. 48
    • / 48 GO
    • 글쓰기
    • 세상의 모든 계산기 자유(질문) 게시판
    • 세상의모든계산기
    • 사업자등록번호 703-91-02181
    • 세모계 all rights reserved.