- TI nspire
fmax =함수의 최대값일 때의 x값, fmin =함수의 최소값일 때의 x값
1. fmax() 함수
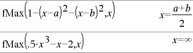
fMax(Expr, Var) ⇒ Boolean expression
fMax(Expr, Var,lowBound)
fMax(Expr, Var,lowBound,upBound)
fMax(Expr, Var) | lowBound≤Var≤upBound
Expr을 최대화하는 Var의 후보 값, 또는 최대값이 없을 경우 최소 상한(least upper bound)이 되는 Var의 후보 값을 정의하는 부울리언 표현식을 반환합니다.


제약 연산자("|")를 사용하여 해의 구간을 제한하거나 다른 제약 조건을 지정할 수 있습니다.
'자동(Auto)' 또는 '근사(Approximate)' 모드에서 '근사(Approximate)'로 설정한 경우, fMax() 함수는 반복적인 계산을 통해 하나의 근사적인 극댓값(approximate local maximum)을 찾습니다.
특히, "|" 연산자로 검색 구간을 하나의 극댓값만 포함하는 작은 범위로 제한하면 계산 속도가 더 빨라집니다.
2. fmin() 함수
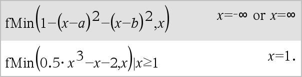
fMin(Expr, Var) ⇒ Boolean expression
fMin(Expr, Var,lowBound)
fMin(Expr, Var,lowBound,upBound)
fMin(Expr, Var) | lowBound≤Var≤upBound
Expr을 최소화하는 Var의 후보 값, 또는 최소값이 없을 경우 최대 하한(greatest lower bound)이 되는 Var의 후보 값을 정의하는 부울리언 표현식을 반환합니다.

제약 연산자("|")를 사용하여 해의 구간을 제한하거나 다른 제약 조건을 지정할 수 있습니다.
'자동(Auto)' 또는 '근사(Approximate)' 모드에서 '근사(Approximate)'로 설정한 경우,
fMin() 함수는 반복적인 계산을 통해 하나의 근사적인 극솟값(approximate local minimum)을 찾습니다.
특히, "|" 연산자로 검색 구간을 하나의 극솟값만 포함하는 작은 범위로 제한하면 계산 속도가 더 빨라집니다.
3. 주의
위 두 함수는 최대(최소상한), 최소(최대하한) 이 되는 함수값 f(x) 를 계산해서 보여주는 함수가 아닙니다.
그 때의 x 값을 구하는 함수입니다.
함수값 f(x) 를 구하는 함수는 없으니, 찾아진 부울리언 표현식 f(x)에 제약연산자로 넣어서 계산하시면 됩니다.

- 계산기의 한계 :
fMin/fMax 기능은 댓글의 예제와 같이 복잡한 함수에 대해 넓은 구간 또는 무한 구간을 탐색할 때 수치적으로 불안정하거나 잘못된 결과를 내놓는 한계를 가지고 있습니다.
- 문제의 해결 :
그래프 기능으로 함수의 개형을 미리 확인하고, 검색 구간을 좁혀서 계산기를 '가이드' 하는 것이 바람직해 보입니다.
아니면 미분&solve 기능을 이용해 극값을 갖는 x값을 미리 확인하고, 그 값을 구간의 기준으로 나누어 검색해 보는 것도 방법이 될 수 있을 듯 합니다.
댓글1
-
세상의모든계산기
오류 발생
https://www.youtube.com/watch?v=dcg0x5SjETY
위 영상의 문제의 함수를 직접 구해 보았습니다.
그래프로는 잘 확인이 되는데...


fmin(), fmax() 함수로 직접 구해보니, 결과가 기대한 것과 다르네요.

구간을 넣지 않으니 fmim, fmax 둘 다에서 오류인 결과를 내놓습니다.
구간을 넣더라도, 적절하게 넣지 않으면, 답이 잘 안나오는 걸 확인할 수 있습니다.
fmin 은 그나마 x=0을 기준으로 나누지 않더라도 답이 나오는 편이지만,
fmax 는 -10~10 을 구간으로 넣을 때, 가운데 x=0 근방에서 그래프가 위로 솟아오르는 구간은 함수값을 확인하지 않는 듯 합니다.
ㄴ fmax가 더 열등해서 그런 것은 아니고, 뒤집어진 모양에서는 반대로 fmin이 못찾습니다.

구간 범위가 커질 경우, 함수에 적용하여 계산하다가 숫자 허용 한계를 벗어나서 overflow 가 나서 오류가 발생할 수도 있는 듯 합니다.
뒤에 점을 넣으니 경고 문구가 추가로 나오긴 했는데,
⚠️ Questionable accuracy. When applicable, try using graphical methods to verify the results.

그래도 실망이네요.
* 믿음직한 녀석은 아닌 듯 하니, 주의 표시 ⚠️가 나오든 안나오든, 사용에 주의하시기 바랍니다.
가급적이면 그래프로 검증해 보시는게 좋겠습니다.
세상의모든계산기 님의 최근 댓글
TI-nspire 입력 방법 solve({x+a+b=5,x)|a=1 and b=2 2025 12.01 질문하실 때는 항상 계산기 모델명을 정확하게 적으셔야 합니다. 2025 12.01 참고 - [공학용 계산기] 로그의 입력 (log, ln) (feat. 밑 입력이 안되는 계산기는?) https://allcalc.org/14995 2025 11.14 HP-39gII 에 ExistOS 설치하기 https://allcalc.org/38526 2025 11.07 1. 왜 검은색이 아닌 다른 색으로 보일까? (제공된 LUT 필터) 제가 제공해 드린 magenta_lens.cube LUT 필터는 540~560nm(녹색-노란색) 파장대의 색상을 '완전히 제거(검은색으로 만듦)'하는 대신, '다른 색상으로 왜곡/변환'하도록 설계되었습니다. * 원리: LUT(Look-Up Table)는 특정 입력 색상(Input RGB)을 미리 정해진 다른 출력 색상(Output RGB)으로 매핑하는 테이블입니다. 이 LUT는 540~560nm에 해당하는 RGB 값들이 들어오면, 검은색(0, 0, 0)이 아닌, 매우 어둡거나 채도가 낮은 특정 색(예: 어두운 올리브색, 갈색 등)으로 변환하라고 지시합니다. * 의도: * 현실적인 물리 필터 시뮬레이션: 실제 고가의 색약 보정 안경도 특정 파장을 100% 완벽하게 차단하지는 못합니다. 빛의 일부를 흡수하고 일부는 통과시키거나 변환하는데, 이 LUT는 그러한 현실 세계의 필터 효과를 더 비슷하게 흉내 냈을 수 있습니다. * 시각적 정보 유지: 특정 색을 완전히 검게 만들면 그 부분의 형태나 질감 정보가 완전히 사라집니다. 하지만 다른 어두운 색으로 대체하면, 색상 정보는 왜곡되더라도 밝기나 형태 정보는 어느 정도 유지되어 전체적인 이미지가 덜 어색하게 보일 수 있습니다. 결론적으로, 스펙트럼 그림에서 해당 대역의 색이 갑자기 '다른 색으로 툭 바뀌는' 현상은, LUT 필터가 "이 파장대의 색은 앞으로 이 색으로 표시해!"라고 강제적으로 지시한 결과이며, 이것이 바로 이 필터가 작동하는 방식 그 자체입니다. 2. 왜 'Color Vision Helper' 앱은 검은색으로 보일까? 비교하신 'Color Vision Helper' 앱은 노치 필터의 원리를 더 이상적(Ideal)이고 교과서적으로 구현했을 가능성이 높습니다. * 원리: "L-콘과 M-콘의 신호가 겹치는 540~560nm 파장의 빛은 '완전히 차단'되어야 한다"는 개념에 매우 충실한 방식입니다. * 구현: 따라서 해당 파장에 해당하는 색상 정보가 들어오면, 어떠한 타협도 없이 그냥 '검은색(RGB 0, 0, 0)'으로 처리해 버립니다. 이는 "이 파장의 빛은 존재하지 않는 것으로 처리하겠다"는 가장 강력하고 직접적인 표현입니다. 2025 11.06