- TI nspire
[TI-nspire CAS] function - desolve() : 미분방정식 함수
1. 개요
미분방정식의 해를 구하는 함수입니다.
※ TI-89T의 desolve() 함수와 비슷한 기능을 합니다. ( 똑같지는 않은 듯)
2. 사용방법
2-1. 일반해
deSolve(1stOr2ndOrderODE, Var, depVar) ⇒ a general solution
Returns an equation that explicitly or implicitly specifies a general solution to the 1st- or 2nd-order ordinary differential equation (ODE). In the ODE:
- Use a prime symbol (press 【?!▶】) to denote the 1st derivative of the dependent variable with respect to the independent variable.
- Use two prime symbols to denote the corresponding second derivative.
The prime symbol is used for derivatives within deSolve() only. In other cases, use d().
The general solution of a 1st-order equation contains an arbitrary constant of the form ck, where k is an integer suffix from 1 through 255. The solution of a 2nd-order equation contains two such constants. Apply solve() to an implicit solution if you want to try to convert it to one or more equivalent explicit solutions.
When comparing your results with textbook or manual solutions, be aware that different methods introduce arbitrary constants at different points in the calculation, which may produce different general solutions.


2-2. 특수해
deSolve(1stOrderODE and initCond, Var, depVar) ⇒ a particular solution
Returns a particular solution that satisfies 1stOrderODE and initCond. This is usually easier than determining a general solution, substituting initial values, solving for the arbitrary constant, and then substituting that value into the general solution.
initCond is an equation of the form:
depVar (initialIndependentValue) = initialDependentValue
The initialIndependentValue and initialDependentValue can be variables such as x0 and y0 that have no stored values. Implicit differentiation can help verify implicit solutions.

2-3. 특수해
deSolve(2ndOrderODE and initCond1 and initCond2, Var, depVar) ⇒ particular solution
Returns a particular solution that satisfies 2nd Order ODE and has a specified value of the dependent variable and its first derivative at one point.
For initCond1, use the form:
depVar (initialIndependentValue) = initialDependentValue
For initCond2, use the form:
depVar (initialIndependentValue) = initial1stDerivativeValue

2-4. 특수해
deSolve(2ndOrderODE and bndCond1 and bndCond2, Var, depVar) ⇒ a particular solution
Returns a particular solution that satisfies 2ndOrderODE and has specified values at two different points.

3. 주의사항
※ 내용 출처 : TI-Nspire™_ReferenceGuide_EN_V3.9.pdf
댓글15
-
세상의모든계산기
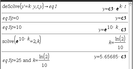
Q : 어떤 박테리아의 개체수가 증가하는 속도는 현재의 개체수에 비례하여 증가한다고 한다. 10일 후에 박테리아 개체수가 현재의 2배가 된다면, (현재로부터) 25일 후에는 현재의 몇배가 되나?

-
세상의모든계산기
Q1 : 박테리아 배양기에 200개의 개체가 있다고 하자. 60분 후에 650개의 개체가 관찰되었다. 지수적으로 증가한다고 하고 t분 후의 개체 수와 초기 개체 수로부터 개체 수가 2배가 될 때까지 걸린 시간을 구하자.
[출처] 수학-미분방정식의 모델 1|작성자 미분 연산자
ㄴ 원문은 "관찰되었다"가 아니고 "생성되었다"이지만, 혼동을 피하기 위해 변경하였습니다.
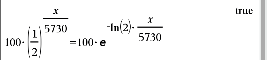
Q2 : 예를 들면 14C(탄소-14)의 반감기를 대략 5730년으로 계산하는데, 이 탄소를 1 gram 갖고 있다면 5730년 후에는 대략 0.5 gram 이 남아 있게 된다. 지금 14C를 100 gram 갖고 있다면 250년 후에는 얼마나 남을까?

ㄴ 방사성 동위원소를 이용한 실험 결과를 계산하는 과정을 설명하고 있습니다.위 반감기 남은 물질 방정식은 아래와 같이 바꿔 쓸 수도 있습니다. (지수-로그 공식)
-
세상의모든계산기
Q3 : 선사시대의 벽화 연대를 측정하기 위하여 타버린 나무 조각이나 숯을 사용하였다. 타버린 나무 조각에서 C-14의 85.5%가 감소하였다면 이 나무의 연대를 결정하라?
* 친절하게 몇%가 감소하였다고 나오지 않고, 붕괴율이 자료로 나온다면 그 아래 식으로 풀이
(시료의 붕괴율 R=100 min-1, 자연상태 붕괴율 R0=144.96 min-1) -
세상의모든계산기
문제
어떤 물질이 10시간에 6%씩 감소한다. 이 물질의 반감기를 찾아라.
Solution 1

Solution 2

둘을 같은 풀이라고 할 수 있나? OK

그래프 페이지에서 직접 확인해 보면 거의 일치하지만, 최대한으로 확대(zoom)해 보면 미~~세하게 차이가 남. (계산상 유효 자릿수 14 digts 한계 때문인 듯)

- 1
-
1
세상의모든계산기
잘 모르겠습니다. 그냥 우변을 0으로 놓으면 되는 것입니까?

- 2
- 1
- 1
세상의모든계산기 님의 최근 댓글
HP-39gII 에 ExistOS 설치하기 https://allcalc.org/38526 2025 11.07 1. 왜 검은색이 아닌 다른 색으로 보일까? (제공된 LUT 필터) 제가 제공해 드린 magenta_lens.cube LUT 필터는 540~560nm(녹색-노란색) 파장대의 색상을 '완전히 제거(검은색으로 만듦)'하는 대신, '다른 색상으로 왜곡/변환'하도록 설계되었습니다. * 원리: LUT(Look-Up Table)는 특정 입력 색상(Input RGB)을 미리 정해진 다른 출력 색상(Output RGB)으로 매핑하는 테이블입니다. 이 LUT는 540~560nm에 해당하는 RGB 값들이 들어오면, 검은색(0, 0, 0)이 아닌, 매우 어둡거나 채도가 낮은 특정 색(예: 어두운 올리브색, 갈색 등)으로 변환하라고 지시합니다. * 의도: * 현실적인 물리 필터 시뮬레이션: 실제 고가의 색약 보정 안경도 특정 파장을 100% 완벽하게 차단하지는 못합니다. 빛의 일부를 흡수하고 일부는 통과시키거나 변환하는데, 이 LUT는 그러한 현실 세계의 필터 효과를 더 비슷하게 흉내 냈을 수 있습니다. * 시각적 정보 유지: 특정 색을 완전히 검게 만들면 그 부분의 형태나 질감 정보가 완전히 사라집니다. 하지만 다른 어두운 색으로 대체하면, 색상 정보는 왜곡되더라도 밝기나 형태 정보는 어느 정도 유지되어 전체적인 이미지가 덜 어색하게 보일 수 있습니다. 결론적으로, 스펙트럼 그림에서 해당 대역의 색이 갑자기 '다른 색으로 툭 바뀌는' 현상은, LUT 필터가 "이 파장대의 색은 앞으로 이 색으로 표시해!"라고 강제적으로 지시한 결과이며, 이것이 바로 이 필터가 작동하는 방식 그 자체입니다. 2. 왜 'Color Vision Helper' 앱은 검은색으로 보일까? 비교하신 'Color Vision Helper' 앱은 노치 필터의 원리를 더 이상적(Ideal)이고 교과서적으로 구현했을 가능성이 높습니다. * 원리: "L-콘과 M-콘의 신호가 겹치는 540~560nm 파장의 빛은 '완전히 차단'되어야 한다"는 개념에 매우 충실한 방식입니다. * 구현: 따라서 해당 파장에 해당하는 색상 정보가 들어오면, 어떠한 타협도 없이 그냥 '검은색(RGB 0, 0, 0)'으로 처리해 버립니다. 이는 "이 파장의 빛은 존재하지 않는 것으로 처리하겠다"는 가장 강력하고 직접적인 표현입니다. 2025 11.06 적용사례 4 - 파장 스펙트럼 https://news.samsungdisplay.com/26683 ㄴ (좌) 연속되는 그라데이션 ➡️ (우) 540 이하 | 구분되는 층(색) | 560 이상 - 겹치는 부분, 즉 540~560 nm 에서 색상이 차단? 변형? 된 것을 확인할 수 있음. 그럼 폰에서 Color Vision Helper 앱으로 보면? ㄴ 540~560 nm 대역이 검은 띠로 표시됨. 완전 차단됨을 의미 2025 11.05 빨간 셀로판지로도 이시하라 테스트 같은 숫자 구분에서는 유사한 효과를 낼 수 있다고 합니다. 색상이 다양하다면 빨강이나, 노랑, 주황 등도 테스트해보면 재밌겠네요. 2025 11.05 안드로이드 앱 - "Color Vision Helper" 다운받아 본문 내용을 카메라로 찍어 보니, 본문 프로그램에서는 애매하게 보이던 부분에서도 구분이 완전 확실하게 되네요. 숫자 구분 능력 & 편의성 면에서 압도적이라고 할 수 있겠습니다. 2025 11.05