• SEARCH

    통합검색
세모계
    • Dark Mode
    • GNB Always Open
    • GNB Height Maximize
    • Color
    • Brightness
    • SINCE 2015.01.19.
    • 세모계 세모계
    •   SEARCH
    • 세상의 모든 계산기
      • 자유(질문) 게시판
      • 계산기 뉴스/정보
      • 수학, 과학, 공학 이야기
      • 세모계 : 공지 게시판
        • 구글 맞춤검색
    • TI
    • CASIO
    • HP
    • SHARP
    • 일반(쌀집) 계산기
    • 기타계산기
    • by OrangeDay
  • TI
    • TI nspire
    • [TI-nspire] Step-By-Step, 2차함수의 해를 단계적으로 찾기. spoly2.tns

    • Profile
      • 세상의모든계산기
      • 2024.07.16 - 13:22 2024.07.16 - 13:21 418

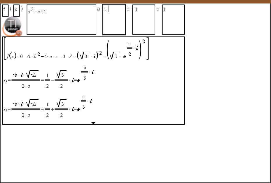
    1. 원본 출처 

     

    https://tiplanet.org/forum/archives_voir.php?id=16642

     

     

    2. 프로그램 설명

    SPOLY2 1.0: 슈퍼 2차 다항식
    자비에르 앙드레아니 - TI-Planet.org
    "2차 다항 함수의 근과 부호를 단계별로 자세히 찾기!"
    __________________________________________
    이 페이지에서 [Ctrl] [→]를 눌러 프로그램 인터페이스에 접근하고 [tab]을 눌러 요소 사이를 탐색하여 다음을 입력하십시오:
    - 다항 함수의 이름 (보통 f)
    - 다항 함수의 변수 (보통 x 또는 t)
    - 다항 함수의 표현식 (TI-Nspire CAS에서만 가능)
    - 또는 직접 a*x^(2)+b*x+c 형태의 계수 a, b, c
    그러면 답이 자동으로 생성됩니다.
    __________________________________________
    TI-Planet.org
    andreanx@hotmail.com

     

     

     

    3. 사용 방법

     

    07-16-2024 Image002.jpg

    f(x) = ㅁ 에 2차함수를 넣으시면 됩니다. 

     

     

     

    4. 주의 사항

    • 없음.

     

     

    Attached file
    07-16-2024 Image002.jpg 36.3KB 29
    이 게시물을..
    N
    0
    0
    • [TI-nspire] Step-By-Step, 단계적 적분, sint.tns세상의모든계산기
    • [TI-nspire] 계산기 초기화 Reset, Document / Problem / Page / Variables 도큐먼트에서 변수까지세상의모든계산기
    • 세상의모든계산기 25
      세상의모든계산기

      계산기는 거들 뿐
      혹은
      계산기를 거들 뿐

    세상의모든계산기 님의 최근 글

    미래 AI의 세 번째 임계점: '자율 AI 에이전트'와 '효율성'의 만남 337 2025 11.06 AI 발전의 두 번째 임계점: LLM과 창발적 능력의 시대. written by gemini-2.5 304 2025 11.06 AI 발전의 첫 번째 임계점: GPU와 딥러닝 혁명. written by gemini-2.5 305 2025 11.06 적록 색약 보정 렌즈(안경) 를 컴퓨터로 시뮬레이션 해본다면? 811 7 2025 11.04 [ticalc.org 펌] Gamma & Zeta function +more. 감마 제타 함수 외 351 2 2025 10.29

    세상의모든계산기 님의 최근 댓글

    일반 계산기는 일반적으로 세팅이나 리셋기능이 따로 없기 때문에, 다른 요인에 영향을 받을 가능성은 없어 보이구요. '원래는 잘 되었는데, 지금은 설정 값이 날아간다'면 메모리 값을 유지할만큼 배터리가 꾸준하게 공급되지 않기 때문일 가능성이 높다고 봐야겠습니다. - 태양광이 있을 때는 계산은 가능하지만, 서랍등에 넣으면 배터리가 없어서 리셋   https://blog.naver.com/potatoyamyam/223053309120 (교체 사진 참조) 1. 배터리 준비:        * 다이소 등에서 LR54 (LR1130) 배터리를 구매합니다. (보통 4개 들이 1,000원에 판매됩니다. LR44와 높이가 다르니 혼동하시면 안됩니다.)   2. 준비물:        * 작은 십자드라이버 (계산기 뒷면 나사용. 이것도 없으시면 다이소에서...)   3. 커버 분해:        * 계산기 뒷면의 나사를 풀고, 머리 부분(윗부분)의 커버를 조심스럽게 분해합니다. (참고해주신 블로그 사진을 보시면 이해가 빠르실 겁니다.)   4. 배터리 교체:        * 기존 배터리를 빼냅니다.        * 새 LR54 배터리의 '+'극 방향을 정확히 확인하여 제자리에 넣어줍니다. (대부분의 경우 '+'극이 위로 보이도록 넣습니다.)   5. 조립:        * 커버를 다시 닫고 나사를 조여줍니다.        * 블로그 사진을 보니 배터리 연결선 등이 눌려서 씹혀 있네요. 원래 씹히도록 설계를 안하는데, 원래 그렇게 만들어 놓은 건지? 모르겠네요. 여튼 씹히면 단선될 가능성이 있으니, 잘 보시고 플라스틱 틈새 등으로 적절히 배치해서 안씹히게 하는 것이 좋습니다. 6. TAX 재설정:        * 계산기의 전원을 켜고 TAX 요율을 10%로 다시 설정합니다. 2025 12.10 TI-nspire 입력 방법 solve({x+a+b=5,x)|a=1 and b=2 2025 12.01 질문하실 때는 항상 계산기 모델명을 정확하게 적으셔야 합니다. 2025 12.01 참고 - [공학용 계산기] 로그의 입력 (log, ln) (feat. 밑 입력이 안되는 계산기는?) https://allcalc.org/14995 2025 11.14 HP-39gII 에 ExistOS 설치하기 https://allcalc.org/38526   2025 11.07
    글쓴이의 서명작성글 감추기 
    • 댓글 입력
    • 에디터 전환
    댓글 쓰기 에디터 사용하기 닫기
    • view_headline 목록
    • 14px
    • [TI-nspire] Step-By-Step, 단계적 적분, sint.tns
    • [TI-nspire] 계산기 초기화 Reset, Document / Problem / Page / Variables 도큐먼트에서 변수까지
    • 목록
      view_headline
    × CLOSE
    전체 nspire 139 89 11 86, 84, 83 7 BA II Plus 8 공통 1
    기본 (168) 제목 날짜 수정 조회 댓글 추천 비추
    분류 정렬 검색
    • 68 nspire [TI-nspire] 그래프 - 미분 방정식 Diff Eq
    • 세상의모든계산기 2019.02.06 - 12:35 2666 4
    • 1. 그래프 모드 - 미분 방정식 Diff Eq 미분 방정식 그래프 모드에서는 (대수적으로 시스템을 특징짓는) 미분 방정식을 풀지 않고도, 역동적인 과정(변화)를 탐색할 수 있습니다. 새로운(OS Ver 3.0에서 업데이트됨) 2D 그래프 유형인 미분 방정식은 미분 방정식의 해를 근사화하는 슬로프(Slope) 필드와 방향(Direction) 필드의 플롯을 제공합니다. 사용자는 Euler와 Runge-Kutta 해법 중에서 선택할 수 있습니다. (여러) 초기 조건에 따라 특정 솔루션을 시각화 할 수 있습니다. 초기 조건은 좌표 평면에서 드래그 할 수 있으며 특정 솔...
    • 67 nspire [TI-nspire] Step-By-Step, nSolver.tns 방정식 및 부등식 단계적 풀이.
    • 세상의모든계산기 2024.07.16 - 13:57 528
    • 1. 원본 출처 https://tiplanet.org/forum/archives_voir.php?id=22698 2. 설명 설명 이 프로그램은 '유형' 방정식 및 부등식을 단계별로 해결합니다. 여기 튜토리얼이 있습니다. OS 3.1 사용자에게: 프로그램이 완전히 표시되지 않을 것이라는 메시지가 나타납니다. 이 메시지는 무시해도 됩니다. 프로그램은 OS 3.1과 완전히 호환됩니다(심지어 ln의 해 영역도). 데이비드 엘말레가 작성한 부호표. AnToX98이 작성한 절대값의 완전한 연구, 이는 하나 이상의 절대값이 있고 표현식에 3개 이상의 요소가 있을 때 호출되는 그의 프로그램 n...
    • 66 nspire [TI-nspire] Step-By-Step, Statistiques.tns 통계
    • 세상의모든계산기 2024.07.16 - 13:30 316
    • 1. 원본 출처 https://tiplanet.org/forum/archives_voir.php?id=22302 2. 설명 (불어 번역) 통계 앙투안 아피아 (AnToX98) 사용법 사용법은 매우 간단합니다. 1.2 페이지로 이동하여 값 열에 일련의 값을 입력한 다음, 빈도 열에 빈도를 입력하십시오(빈도를 입력하지 않으면 프로그램은 빈도가 1이라고 자동으로 추정합니다). 그런 다음 1.3 페이지(계산 응용 프로그램)로 이동하여 통계 프로그램을 선택합니다(찾으려면 var 키를 누르십시오). Enter 키를 눌러 프로그램을 실행하고 계산이 완료되면 단계로 돌아가서 다시 실행하십시오....
    • 65 nspire [TI-nspire] Step-By-Step, SEL.tns : 접선과 점근선을 포함한 슈퍼 국소 연구 local analysis
    • 세상의모든계산기 2024.07.16 - 13:27 378
    • 1. 원본 출처 https://tiplanet.org/forum/archives_voir.php?id=17402 2. 설명 (불어 번역) SEL은 함수의 그래프를 한 점 또는 무한 가지에서 완전히 연구할 수 있게 해줍니다. 다음을 포함하여: 연속성 연구 연속성을 통한 연장 가능성 미분 가능성 연구 접선 또는 반접선의 방정식 수평, 수직 또는 비스듬한 점근선 및 점근 방향 탐지 BAC를 넘어서도 고등 교육에서 충실하고 신뢰할 수 있는 도구로서 여러분을 동반할 매우 완벽하고 뛰어난 도구입니다! 3. 사용방법 4. 주의사항 프랑스어로 나옵니다. 대충 감안하고 보시길...
    • 64 nspire [TI-nspire] Step-By-Step, AnalyseDeSuite.tns 수열 풀이(등차, 가변비 등차, 등비, 가변비 등비, 등차-등비, 호모그래픽, 지수)
    • 세상의모든계산기 2024.07.16 - 13:46 365
    • 1. 원본 출처 https://tiplanet.org/forum/viewtopic.php?t=14088 https://tiplanet.org/forum/archives_voir.php?id=12527 2. 설명 (불어 번역) David Elmaleh와 공동 제작한 뉴스 안녕하세요, 여러분! 고등학생이고, 대학 입시를 위한 완전하고 실용적인 수열 프로그램을 찾고 계신가요? 이 뉴스는 여러분을 위한 것입니다!! :#top#: 주요 프로그램 두 가지가 있습니다: 수열 분석과 귀납법 증명 프로그램입니다. 수열 분석: 여러 프로그램이 포함된 하나의 클라서로 구성되어 있습니다. 가장 중요한 것은 1.2 페이지에서 사용할 수 있는...
    • 63 nspire [TI-nspire] Step-By-Step, 단계적 적분, sint.tns
    • 세상의모든계산기 2024.07.16 - 13:14 444
    • 1. 원본 출처 https://tiplanet.org/forum/archives_voir.php?id=15332 2. 설명 SINT 1.0: 슈퍼 적분 자비에르 앙드레아니 - TI-Planet.org "단계별로 자세히 설명된 원시 함수와 적분, 복사할 준비가 완료되었습니다!" __________________________________________ 이 페이지에서 [Ctrl] [→]를 눌러 프로그램 인터페이스에 접근하고 [tab]을 눌러 요소 사이를 탐색하여 다음을 입력하십시오: - 원시 함수 / 적분할 함수의 이름 (보통 f) - 원시 함수 / 적분할 함수의 변수 (보통 x 또는 t) - 원시 함수 / 적분할 함수의 표현식 그러면 답...
    • nspire [TI-nspire] Step-By-Step, 2차함수의 해를 단계적으로 찾기. spoly2.tns
    • 세상의모든계산기 2024.07.16 - 13:21 418
    • 1. 원본 출처 https://tiplanet.org/forum/archives_voir.php?id=16642 2. 프로그램 설명 SPOLY2 1.0: 슈퍼 2차 다항식 자비에르 앙드레아니 - TI-Planet.org "2차 다항 함수의 근과 부호를 단계별로 자세히 찾기!" __________________________________________ 이 페이지에서 [Ctrl] [→]를 눌러 프로그램 인터페이스에 접근하고 [tab]을 눌러 요소 사이를 탐색하여 다음을 입력하십시오: - 다항 함수의 이름 (보통 f) - 다항 함수의 변수 (보통 x 또는 t) - 다항 함수의 표현식 (TI-Nspire CAS에서만 가능) - 또는 직접 a*x^(2)+b*x+c 형...
    • 61 nspire [TI-nspire] 계산기 초기화 Reset, Document / Problem / Page / Variables 도큐먼트에서 변수까지
    • 세상의모든계산기 2015.10.25 - 11:01 19797 11 1
    • 1. TI-nspire 의 특징 TI-nspire 는 간단하게 계산할 수 있는 Scratchpad 모드가 있고, 정식?으로 계산할 수 있는 Document 모드가 있습니다. 설명: Document, Problem, Page의 관계 문서(Document) 정의: Document(문서)는 하나의 File(파일)로 볼 수 있습니다. 특징: 하나의 문서에는 여러 개의 문제(Problem)를 포함할 수 있습니다. 문제(Problem) 정의: 문제는 문서 안에 생성되는 개별 단위입니다. 특징: 각 문제는 독립적이며, 다른 문제와 변수나 계산 결과를 공유하지 않습니다. 하위 단위: 각 문제는 여러 개의 페이지(Page)를 포...
    • 60 nspire Nspire CAS 에서 ∫(x/sinh(c*x)) = 가능? 불가능?
    • 세상의모든계산기 2024.07.05 - 15:46 480 3
    • 참고 ∫sinh 𝑥 d𝑥=cosh 𝑥+𝑐𝑜𝑛𝑠𝑡. ∫cosh 𝑥 d𝑥=sinh 𝑥+𝑐𝑜𝑛𝑠𝑡. ∫tanh 𝑥 d𝑥=ln (cosh 𝑥)+𝑐𝑜𝑛𝑠𝑡. ∫sech 𝑥 d𝑥=2arctan (𝑒𝑥)+𝑐𝑜𝑛𝑠𝑡. =arctan (sinh 𝑥)+𝑐𝑜𝑛𝑠𝑡. =arcsin (tanh 𝑥)+𝑐𝑜𝑛𝑠𝑡. =2arctan {tanh (𝑥/2)}+𝑐𝑜𝑛𝑠𝑡. =gd 𝑥+𝑐𝑜𝑛𝑠𝑡. ∫csch 𝑥 d𝑥=ln {tanh (𝑥/2)}+𝑐𝑜𝑛𝑠𝑡. =ln ∣coth 𝑥−csch 𝑥∣+𝑐𝑜𝑛𝑠𝑡. ∫coth 𝑥 d𝑥=ln ∣sinh 𝑥∣+𝑐𝑜𝑛𝑠𝑡. 울프람 알파 결과 TI-nspire 에서 시도해 보면? - 그냥은 잘 안되네요. 연구가 필요합니다. 참고 사이트 : https://blog.naver.com/sluggeryck/220756600487 http://kshscomm.dothome.co.kr/K_SOM/15552 //직접 관련은 ...
    • 59 nspire [TI-nspire] 계산 단위의 사용 및 변환
    • 세상의모든계산기 2015.01.21 - 16:29 10129 3 1
    • ※ TI-nspire 기종은 CAS 계산기에서만 단위를 포함한 계산이 가능합니다. Non-CAS 계산기에서는 단위를 포함한 계산이 불가능합니다. 1. 단위의 입력 방법 1 : CATALOG (카탈로그 창 - 사용 가능한 단위확인) 여기서 필요한 단위를 골라 입력합니다. 방법2 : 알파벳 키 단위를 아는 경우 알파벳을 직접 입력할 수도 있습니다. 밑줄(underscore)은 【?!▶】 키를 눌러서 밑에서 3번째를 선택하거나, 단축키 【ctrl】 【└┘】 로 입력합니다. ※ 선택 가능한 단위의 목록 + Constants _c, _Cc, _g, _Gc, _h, _k, _μ0, _μb, _Me, _Mn, _Mp, _Na, ...
    • 58 nspire [TI-nspire] (프로그램) 보간법 (선형, 다항식) Linear & Polynomial Interpolation
    • 세상의모든계산기 2015.01.15 - 22:05 6038 10
    • Linear & Polynomial Interpolation for TI-Nspire Ver 1.2 by allcalc.org ----- Usage 1. Input each x1,y1,x2,y2... var_x and var_y alternately or matrix (2*n) type DATA at prompt for DATA.x 2. When you finished to insert DATA, type "end" at prompt for DATA.x 3. If there's no error with DATA sets, function i.linear() and i.polynomial() will be created. 4. Use functions to find unkown value "y" 5. Additionally, data.sub(matrix) and data.subx,data.suby(list) will be made too. Caution To stop a program ...
    • 57 nspire [프로그램] splitor, sor. "or" 단위로 구분된 수식을 "리스트 / 매트릭스 / 변수 " 형태로 바꿈
    • 세상의모든계산기 2024.06.20 - 09:25 505 7
    • Define LibPub splitor(expression)= Prgm :Local i,pos,prev_pos,num_or,len :len:=dim(string(expression)) :num_or:=0 :prev_pos:=1 : :While prev_pos≤len : pos:=inString(string(expression)," or ",prev_pos) : If pos=0 Then : Exit : Else : num_or:=num_or+1 : prev_pos:=pos+4 : EndIf :EndWhile : :r.list:=newList(num_or+1) : :prev_pos:=1 :For i,1,num_or : pos:=inString(string(expression)," or ",prev_pos) : r.list[i]:=expr(mid(string(expression),prev_pos,pos-prev_pos)) : expr("r.e"&string(i)&":=r.list["&str...
    • 56 nspire [function] part() // nspire 레퍼런스 가이드북에 없는 함수
    • 세상의모든계산기 2024.06.21 - 22:17 595 7
    • 1. part() "Error: Argument must be a Boolean expression or integer" 1.1 part(data) ⇒ (number) index data 에서 (계산 우선순위상) 처음 실행되는 function(기능) 이 포함하고 있는 요소(argument) 의 갯수를 반환함. data==list, list 의 element 갯수 data==matrix, matrix 열(row) 갯수 data==expression, 수식에 포함된 기능(연산자(+ - × ÷ ^...) / 함수(cos()...) / "and" / "or" 등등) 중에서, 뭐가 됐든 우선순위가 제일 높은 것에 필요한 요소(argument)의 갯수를 반환함. 1.2 part(data, index) index==0 일 때, data에 포...
    • 55 nspire [TI-nspire] 문자(Char), 문자열(String)
    • 세상의모든계산기 2017.12.07 - 16:56 1352 5
    • 1. 문자 Char [TI-nspire]에서 사용될 수 있는 문자 집합(Character Set)이 존재하며, 집합을 구성하는 개개의 원소(element)가 문자입니다. 하나의 문자는 하나의 정수(Integer)값에 대응하여 넘버링(숫자매김)되어 있습니다. char() 함수와 ord() 함수를 이용하여 문자<>숫자간 대응관계를 확인할 수 있습니다. 문자, 또는 문자의 조합은 변수명으로 사용할 수 있습니다. 2. 문자열 String 문자열은 [TI-nspire]에서 사용되는 자료형 중 하나로서, 쿼테이션 마크(" ")로 묶여 있습니다. string(Expr)함수는 인수로 받는 'Expr 을 실행한 ...
    • 54 nspire [TI-nspire] irr, mirr 내부수익률, 수정된 내부수익률 의 계산
    • 세상의모든계산기 2015.03.21 - 14:54 2948 7
    • 1. irr() irr(CF0,CFList [,CFFreq]) ⇒ value irr 함수는 투자의 **내부 수익률(IRR)**을 계산하는 재무 함수입니다. CF0: 초기 현금 흐름(시간 0)이며 실수여야 합니다. CFList: 초기 현금 흐름(CF0) 이후의 현금 흐름 금액 목록입니다. CFFreq: (선택 사항) 각 요소가 그룹화된 (연속적인) 현금 흐름 금액의 발생 빈도를 지정하는 목록입니다. 이는 CFList의 해당 요소와 일치합니다. 기본값은 1이며, 값을 입력할 경우 10,000 미만의 양의 정수여야 합니다. 2. mirr() mirr(financeRate,reinvestRate,CF0,CFList[,CFFreq]) 조정 내부 수...
    • 53 nspire [Warning] Operation might introduce false solutions.
    • 세상의모든계산기 2024.04.06 - 08:38 489
    • [Warning] Operation might introduce false solutions. When applicable, try using graphical methods to verify the results
    • 52 nspire [TI-nspire] 선형 연립방정식 풀이 by Jacobi Iterative Method (야코비 반복법)
    • 세상의모든계산기 2016.04.18 - 14:41 3608 5
    • 1. 야코비 반복법이란? http://www.allcalc.org/17570 2. 계산기 입력 과정 대각행렬을 구하고 변수 d 에 저장 a-d 행렬을 변수 r 에 저장 초기값을 변수 j에 대입 반복식을 입력 반복
    • 51 nspire [TI-nspire CAS] function - desolve() : 미분방정식 함수
    • 세상의모든계산기 2015.02.27 - 21:47 22100 15
    • 1. 개요 미분방정식의 해를 구하는 함수입니다. ※ TI-89T의 desolve() 함수와 비슷한 기능을 합니다. ( 똑같지는 않은 듯) 2. 사용방법 2-1. 일반해 deSolve(1stOr2ndOrderODE, Var, depVar) ⇒ a general solution Returns an equation that explicitly or implicitly specifies a general solution to the 1st- or 2nd-order ordinary differential equation (ODE). In the ODE: Use a prime symbol (press 【?!▶】) to denote the 1st derivative of the dependent variable with respect to the independent variable. Use two prime sy...
    • 50 nspire [TI-nspire] [프로그램 개발취소] cpfe() : 복소수 부분분수 → 라플라스 역변환
    • 세상의모든계산기 2015.02.19 - 14:02 7735 2 1
    • 오랫만에 좀 고쳐볼까 했는데... 손볼데가 많아서 포기했습니다. 대신 (라플라스 역변환 기능은 빼고) 부분분수화에 집중한 새 프로그램을 만들었습니다. http://www.allcalc.org/10272 TI-Nspire 용 cexpand() 프로그램이 없는 것 같아서 만들어 보았습니다. 처음에는 다른 프로그램 응용하는 것으로 시작했는데, 어쩌다보니 프로그램이 좀 커졌습니다. 프로그램에 아직 문제가 좀 있긴 한데, 수정하는데 어려움이 있어 방치된 상태입니다. 의견이 있으시면 댓글로 남겨주시기 바랍니다. ※ 파일 설치방법 1. 다운로드 받은 cpfe.tns 파일...
    • 49 nspire [TI-nspire] CX CAS 단축키 Shortcut
    • 세상의모든계산기 2015.02.28 - 13:40 9694 6
    • 도움말 도움말 열기 【ctrl】【trig】 글자 편집 잘라내기 【ctrl】【X】 복사하기 【ctrl】【C】 붙여넣기 【ctrl】【V】 Undo 되돌리기 【ctrl】【Z】 【ctrl】【esc】 Redo 되살리기 【ctrl】【Y】 【shift】【esc】 참값 vs 근사값 모드 변경 【ctrl】【entet】 English: Change key to include appropriate accent Chinese: Insert character 【깃발】 문서에 문자/기호 삽입 문자 / 기호 모음판 보이기 【ctrl】【카탈로그】 언더스코어 _ 【ctrl】【스페이스】 수학 템플릿 모음판 보이기 【템플릿】 역슬래시 \ 【shift】【÷】 Ma...
    • 1 2 3 4 5 6 7 8 9
    • / 9 GO
    • TI
    • 세상의모든계산기
    • 사업자등록번호 703-91-02181
    • 세모계 all rights reserved.