- TI nspire
[프로그램] splitor, sor. "or" 단위로 구분된 수식을 "리스트 / 매트릭스 / 변수 " 형태로 바꿈
Define LibPub splitor(expression)=
Prgm
:Local i,pos,prev_pos,num_or,len
:len:=dim(string(expression))
:num_or:=0
:prev_pos:=1
:
:While prev_pos≤len
: pos:=inString(string(expression)," or ",prev_pos)
: If pos=0 Then
: Exit
: Else
: num_or:=num_or+1
: prev_pos:=pos+4
: EndIf
:EndWhile
:
:r.list:=newList(num_or+1)
:
:prev_pos:=1
:For i,1,num_or
: pos:=inString(string(expression)," or ",prev_pos)
: r.list[i]:=expr(mid(string(expression),prev_pos,pos-prev_pos))
: expr("r.e"&string(i)&":=r.list["&string(i)&"]")
: prev_pos:=pos+4
:EndFor
:
:r.list[num_or+1]:=expr(mid(string(expression),prev_pos,len-prev_pos+1))
:expr("r.e"&string(num_or+1)&":=r.list["&string(num_or+1)&"]")
:
:list▶mat(r.list,1)→r.matrix
:
:Disp "Number of 'or's: ",num_or
:Disp "Saved result as 'r.list' & 'r.matrix' & r.#num"
:Disp r.matrix
:
:EndPrgm
이 프로그램은 solve() 등에 의해 만들어진 수식(expression)에서 " or "을 기준으로 조건을 분리하고, 각 조건을 처리하여 결과를 저장하는 기능을 수행합니다. 프로그램의 각 부분을 이해하기 위해 다음과 같은 과정을 거칩니다:
-
변수 초기화 및 설정:
len: 수식의 길이를 저장합니다.num_or: " or "의 등장 횟수를 저장할 변수로 초기화합니다.prev_pos: 수식을 검사할 때 사용할 시작 위치를 초기화합니다.
-
'or' 등장 횟수 세기:
While루프를 사용하여 수식을 처음부터 끝까지 검사합니다.inString함수를 사용하여 " or "의 등장 위치를 찾습니다.- 만약 등장 위치(pos)가 0이면, 더 이상 " or "이 없다는 것이므로 루프를 종료합니다.
- 등장 횟수를 세는
num_or를 증가시키고, 다음 검색을 위해prev_pos를 조정합니다.
-
조건을 저장할 리스트 초기화:
newList함수를 사용하여 조건을 저장할r.list리스트를 생성합니다.- 리스트의 크기는 " or "의 등장 횟수(num_or)에 1을 더한 값으로 설정합니다.
-
각 조건을 리스트에 저장:
- 다시
prev_pos를 1로 초기화하고For루프를 통해 각 " or "의 위치를 찾고, 해당 위치 이전부터 해당 위치까지의 부분 문자열을 추출합니다. - 추출한 부분 문자열을
expr함수를 사용하여 식으로 변환하여r.list리스트의 해당 위치(i)에 저장합니다. - 다음 검색을 위해
prev_pos를 조정합니다.
- 다시
-
결과 저장 및 출력:
r.list리스트를list▶mat함수를 사용하여r.matrix라는 이름의 행렬로 변환하여 저장합니다.- r.e1, r.e2... 변수에 개별 원소를 저장합니다.
- 결과 출력을 위해 "Number of 'or's: "와
num_or의 값을 출력합니다. - "Saved result as 'r.list' & 'r.matrix'"와
r.matrix의 내용을 출력하여 최종 결과를 사용자에게 표시합니다.
이 프로그램은 주어진 수식에서 " or "을 기준으로 여러 조건을 분리하고, 이를 적절히 처리하여 결과를 출력하는 기능을 가지고 있습니다.
이 프로그램에서 사용된 함수들을 간략히 설명드리겠습니다:
-
dim(string(expression)):dim함수는 인자로 전달된 배열 또는 문자열의 차원을 반환합니다.string(expression)은 수식을 문자열로 변환한 것이며, 이의 길이를 반환하여 수식의 전체 길이를 구합니다.
-
inString(string(expression), " or ", prev_pos):inString함수는 첫 번째 문자열에서 두 번째 문자열이 처음으로 나타나는 위치를 반환합니다.string(expression)에서 " or "이라는 문자열이prev_pos위치부터 시작하여 처음 발견된 위치를 반환합니다.- 발견되지 않을 경우 0을 반환합니다.
-
newList(num_or + 1):newList함수는 주어진 크기(num_or + 1)로 새로운 리스트를 생성합니다.- 여기서는 " or "의 등장 횟수(num_or)에 1을 더한 크기로 리스트를 생성하여 조건들을 저장할 준비를 합니다.
-
mid(string(expression), prev_pos, pos - prev_pos):mid함수는 문자열에서 지정된 범위의 부분 문자열을 추출합니다.string(expression)에서prev_pos위치부터pos - prev_pos길이만큼의 부분 문자열을 추출하여 각 조건을 식으로 변환합니다.
-
expr(...):expr함수는 문자열을 수식으로 변환하여 계산 가능한 형식으로 반환합니다.- 예를 들어, 문자열 "2 + 3"을
expr("2 + 3")으로 호출하면, 이는 숫자 5로 계산될 수 있습니다. - 프로그램에서는 수식을 문자열로 추출한 후
expr함수를 사용하여 각 조건을 계산 가능한 형태로 변환합니다.
-
list▶mat(r.list, 1):list▶mat함수는 리스트를 행렬로 변환하는 함수입니다.- 여기서는
r.list리스트를 1열로 행렬로 변환하여r.matrix라는 이름의 행렬에 저장합니다. - 이는 계산 결과를 보다 보기 쉬운 구조화된 형태로 저장하기 위해 사용됩니다.
이 함수들은 프로그램에서 문자열 처리, 검색, 데이터 구조 변환 등 다양한 기능을 수행하는 데 사용되었습니다.


[추가] 댓글에 있는 것처럼 sor(expression) 함수를 추가하였습니다.
코드만 다르고, 기능은 splitor(expression) 과 동일합니다.
생성되는 결과 변수도 동일하기 때문에 서로가 서로의 결과를 덮어씌워 저장할 수 있습니다.
댓글7
-
세상의모든계산기2024.06.20 - 09:30 #41850
1. 첨부 파일에 올려둔 splitor.tns 를 다운받아
2. 계산기 MyLib 폴더에 업로드하시고
3. Refresh Library 명령 (doc - 6 ?) 을 한번 실행하시면
4. 다른 파일에서도 splitor\splitor(수식) 명령으로 사용하실 수 있습니다.
-
세상의모든계산기
주의
다 잘 되는데... 딱 하나 안되는게 있네요.
조건문(Constraint)에 list[], matrix[]넣으니까 "Error: Invalid outside program" 에러가 나는군요.

이상하네요??????????????프로그램의 문제는 아니고, 그냥 | 조건문(Constraint) 과 "리스트/매트릭스" 조합에 문제가 있는 모양입니다.
"program" 이라고 딱 나와서 프로그램 문제인 줄 알았는데, 수동으로 만들어서 해 봐도 같은 문제가 발생합니다. -
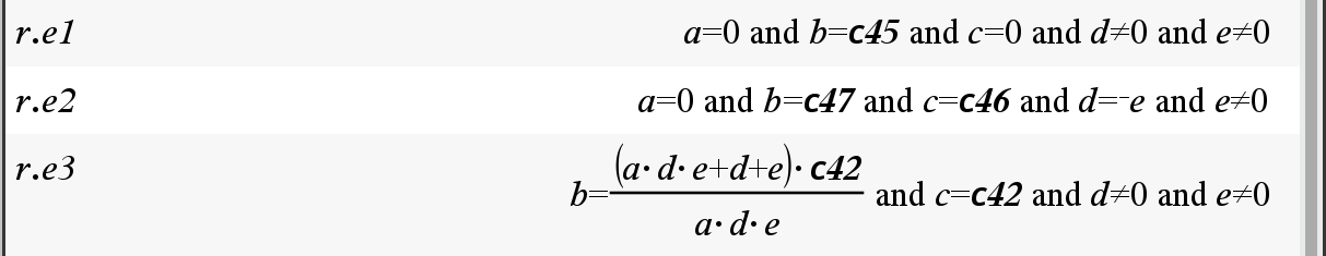
1
세상의모든계산기
이것 때문에 변수 r.e1, r.e2, r.e3, ... ... 에 개별적으로 저장하도록 기능을 추가하였습니다.

-
세상의모든계산기
r.matrix 로 만든 것은
수식이 길어질 때는
가로로 쭉~~~~~~~~~~~~~~~~~~~~~~~~~~~~~~~~~~ 연결되어 나와서
(PC든 계산기든) 알아보기가 힘들기 때문에
세로로 하나씩 출력하여 한눈에 쉽게 확인하기 위한 것입니다.
r.list 로 만든 것은
matrix 의 경우 값을 불러내려면
r.matrix[1,1] 과 같은 형태로 입력해야 하는데,
list 의 경우
r.list[1] 로 보다 간단하기 때문입니다.
편한걸로 취사선택해 쓰시면 됩니다.
- 1
-
세상의모든계산기
Define LibPub sor(expression)= Prgm :Local remains,count_or :© Initialize variables :remains:=expression :count_or:=0 :r.list:={} : :© Main Loop :While part(remains,0)="or" : count_or:=count_or+1 : r.list:=augment(r.list,{part(remains,1)}) : remains:=part(remains,2) : expr("r.e"&string(count_or)&":=r.list["&string(count_or)&"]") :EndWhile :r.list:=augment(r.list,{remains}) :list▶mat(r.list,1)→r.matrix :expr("r.e"&string(count_or+1)&":=r.list["&string(count_or+1)&"]") : :© Display Result :Disp "Number of 'or's: ",count_or :Disp "Saved result as 'r.list' & 'r.matrix' & r.#num" :Disp r.matrix :EndPrgm본문의 splitor() 와 실행 결과는 동일합니다.
part() 명령어를 이용하여 프로그램을 단순화하였습니다.
세상의모든계산기 님의 최근 댓글
일반 계산기는 일반적으로 세팅이나 리셋기능이 따로 없기 때문에, 다른 요인에 영향을 받을 가능성은 없어 보이구요. '원래는 잘 되었는데, 지금은 설정 값이 날아간다'면 메모리 값을 유지할만큼 배터리가 꾸준하게 공급되지 않기 때문일 가능성이 높다고 봐야겠습니다. - 태양광이 있을 때는 계산은 가능하지만, 서랍등에 넣으면 배터리가 없어서 리셋 https://blog.naver.com/potatoyamyam/223053309120 (교체 사진 참조) 1. 배터리 준비: * 다이소 등에서 LR54 (LR1130) 배터리를 구매합니다. (보통 4개 들이 1,000원에 판매됩니다. LR44와 높이가 다르니 혼동하시면 안됩니다.) 2. 준비물: * 작은 십자드라이버 (계산기 뒷면 나사용. 이것도 없으시면 다이소에서...) 3. 커버 분해: * 계산기 뒷면의 나사를 풀고, 머리 부분(윗부분)의 커버를 조심스럽게 분해합니다. (참고해주신 블로그 사진을 보시면 이해가 빠르실 겁니다.) 4. 배터리 교체: * 기존 배터리를 빼냅니다. * 새 LR54 배터리의 '+'극 방향을 정확히 확인하여 제자리에 넣어줍니다. (대부분의 경우 '+'극이 위로 보이도록 넣습니다.) 5. 조립: * 커버를 다시 닫고 나사를 조여줍니다. * 블로그 사진을 보니 배터리 연결선 등이 눌려서 씹혀 있네요. 원래 씹히도록 설계를 안하는데, 원래 그렇게 만들어 놓은 건지? 모르겠네요. 여튼 씹히면 단선될 가능성이 있으니, 잘 보시고 플라스틱 틈새 등으로 적절히 배치해서 안씹히게 하는 것이 좋습니다. 6. TAX 재설정: * 계산기의 전원을 켜고 TAX 요율을 10%로 다시 설정합니다. 2025 12.10 TI-nspire 입력 방법 solve({x+a+b=5,x)|a=1 and b=2 2025 12.01 질문하실 때는 항상 계산기 모델명을 정확하게 적으셔야 합니다. 2025 12.01 참고 - [공학용 계산기] 로그의 입력 (log, ln) (feat. 밑 입력이 안되는 계산기는?) https://allcalc.org/14995 2025 11.14 HP-39gII 에 ExistOS 설치하기 https://allcalc.org/38526 2025 11.07