- TI nspire
[TI-nspire CAS] solve() : 솔브 함수 ; 방정식의 해를 구하는 기능
1. 개요
solve() 함수는 방정식이나 부등식의 실수해(real solutions)를 추정하여 반환하는 함수입니다.
결과가 딱 떨어지는 일반 여타 함수들과는 달리 사용 방법이 조금 까다롭습니다.
└ 복소수 해를 구할 때에는 오직 csolve() 를 사용합니다.
└ [TI-nspire non-CAS] 기종은 nsolve() 또는 linsolve() 만을 이용할 수 있으므로 복소수 해를 구할 수 없습니다.
* solve() 함수는 ⓐ 가급적 정확(exact)한 답을 찾으려고 하고, ⓑ (상황에 따라) 찾을 수 있는 최대한 많은 답을 표시하려고 합니다.
2. 사용 방법
2-1.
|
ⓐ solve(Equation, Var) ⇒ Boolean expression ⓑ solve(Equation, Var=Guess) ⇒ Boolean expression ⓒ solve(Inequality, Var) ⇒ Boolean expression |
'var' 만 넣어도 되고, 'var=guess' 로 결과 추정 값을 넣어도 됩니다. 일반적으로 아무 값이라도 추정값을 넣는 것이 더 바람직합니다. guess 값에 따라 반환되는 결과값이 달라질 수도 있습니다.
2-2.
|
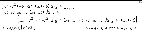
ⓐ solve(Eqn1 and Eqn2[and …], VarOrGuess1, VarOrGuess2[, …]) ⇒ Boolean expression ⓑ solve(SystemOfEqns, VarOrGuess1, VarOrGuess2 [, …]) ⇒ Boolean expression ⓒ solve({Eqn1, Eqn2 [,...]} {VarOrGuess1,VarOrGuess2 [, … ]}) ⇒ Boolean expression |

ㄴ 여기서의 결과는 같지만, 다중변수 var 지정방법에 따라 결과의 표시방법 및 순서는 달라질 수도 있습니다.
* solve() 의 결과는 항상 Boolean expression 임을 주목하세요.
[아래 출처 : https://bard.google.com/]
Boolean expression은 참과 거짓을 나타내는 표현입니다. Boolean expression은 논리 연산자를 사용하여 두 개 이상의 Boolean value를 결합하여 Boolean value를 생성할 수 있습니다.
Boolean expression의 가장 일반적인 논리 연산자는 AND, OR, NOT입니다. AND 연산자는 두 개의 Boolean value가 모두 참일 때 참을 반환하고, OR 연산자는 두 개의 Boolean value 중 하나라도 참일 때 참을 반환합니다. NOT 연산자는 Boolean value가 거짓일 때 참을 반환하고, 참일 때 거짓을 반환합니다.
예를 들어, "a > 0 AND b < 10"은 a가 0보다 크고 b가 10보다 작은지 여부를 나타내는 Boolean expression입니다. 이 표현의 결과는 a와 b의 값에 따라 참 또는 거짓이 될 수 있습니다.
Boolean expression은 프로그래밍 언어에서 조건문, 반복문, 함수의 인자 등으로 사용됩니다. 조건문은 Boolean expression의 결과에 따라 코드를 실행하거나 실행하지 않도록 제어하는 데 사용됩니다. 반복문은 Boolean expression의 결과가 참인 동안 코드를 계속 실행하도록 제어하는 데 사용됩니다. 함수의 인자로 Boolean expression을 사용하면 함수가 실행될 때의 조건을 제어할 수 있습니다.
꿀팁
solve() 에서 사용하는 변수가 여러개인 경우, 결과가 x=ㅁㅁ and y=ㅇㅇ or x=◇◇ and y=△△ 의 꼴(=boolean expression)로 나오게 되므로 결과 그대로를 다른 수식에 이용하는 것은 어렵습니다.
이 때 exp▶list(expr, {x,y,z}) 함수를 이용하면 결과를 행렬 형태로 변경시킬 수 있습니다.

[프로그램] "or" 단위로 구분된 수식을 "리스트 / 매트릭스" 형태로 바꿈
https://allcalc.org/41844
ㄴ or 단위만 없애려면 위 프로그램을 사용하실 수도 있습니다.
3.
주의 사항
- 문제 발생 유형
답이 나오지 않는 경우 = false
입력한 식이 그대로 나온 경우
답이 표시됐으나 원하는 답이 아닌 경우
답이 표시되지 않고 모래시계만 계속 돌아가는 경우
- 문제해결에 도움이 되는 방법들
【ctrl】【enter】 (근사값 모드)로 풀어보기
입력한 식의 재확인(특히 문자*(괄호)에서 곱하기 생략한거 없는지 확인, 함수형식 맞는지)
추정값(Guess) 입력하여 재계산 (매우 중요)
solve(~~~) | a<x<b 꼴로 범위 지정하여 재계산
입력한 수식을 변형하여 재입력
그래도 안되면, 최종 단계로 그래프로 그려보고 확인
댓글22
-
세상의모든계산기
예시1) 버그 - 변수에 대한 큰 지수가 있을 때, 오류값 출력 (예 : 이자율)
solve 자체의 버그는 아니고, 계산기 고유의 버그
(※ 내부 유효숫자(internal significant digits) 문제로 발생함)
버그 내용 : 4.4999999999999E−13 는 해가 아님.
-
1
세상의모든계산기
유사 사례 - 이자율 계산

Questionable accuracy. : When applicable, try using graphical methods to verify the results.시도 1 : 초기값 지정 ⇒ 이자율에 해당할 수 있는 0.1(=10%) 로 지정하면 찾아짐
해결되지 않음 : 초기값 지정 ⇒ 음수 지정시 지정한대로 또 다른 오답이 찾아짐

시도 2 : nsolve(), ⇒ solve() 와 동일함.
최종 결론 : 위의 이자율 계산할 때는 |x>0 인 조건을 걸고, 정상 이자율(0 < r < 1) 을 초기값으로 넣는 것이 최선
-
세상의모든계산기
예시2) 식의 정리 방법. 여러 문자 중 특정 문자로 뽑아낼 때

* 이런식으로 입력하더라도, 조건이 꼭 필요한 경우에는 뒤에 치렁치렁 다 데리고 나올 때 있음.
-
세상의모든계산기
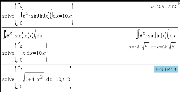
예시3) 적분을 포함한 식의 solve : 가능

답이 맞는지는 모르겠음
-
세상의모든계산기
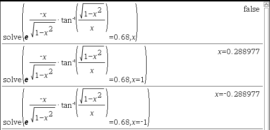
예시4) solve 결과 false 가 나올 때

추정값(=Guess) 입력여부에 따라 결과값이 달라질 수 있습니다.
-
세상의모든계산기
예시5) 입력한 수식의 형태(좌변 vs 우변 위치) 에 따라 결과가 달라질 수도

-
세상의모든계산기
예시6) 버그 - Solve 자체의 버그인데 계산기 OS 에 따라 다르게 발생함

V 4.0 에서는 Doc-Setup-Real or Complex Format 설정에 따라 복소수 결과가 나올 수도 있음. 게다가 오답
V 3.2 에서는 설정과 관계없이 실수결과값이 구해짐. 정상위 문제를 csolve 로 풀었을 때는
V 4.0 에서는 무한루프(시계) 상태가 되고,
V 3.2 에서는 주기함수 형태로 답이 나옵니다.
-
[질문] exp▶list(expr, {x,y,z})
solve() 에서 사용하는 변수가 여러개인 경우, 결과가 x=ㅁㅁ and y=ㅇㅇ or x=◇◇ and y=△△ 의 꼴로 나오게 되므로결과 그대로 다른 수식에 이용하는 것은 어렵습니다.
이 때 exp▶list(expr, {x,y,z}) 함수를 이용하면 결과를 행렬 [ㅁㅁ ㅇㅇ △△]형태로 변경시킬 수 있습니다.
이 부분
exp▶list(expr, {x,y,z}) 이 부분에 대해서 좀 자세히 알려주실 수 있나요?
함수로 만들어야 할 것 같은데, expr 부분을 어떻게 입력해야하는지 모르겠습니다.
x= 1 and y=4 and z=3 이런식으로 된 것을 인식하게 만드는 것 같은데
행렬1x3 (x,y,z)▶list(expr, {x,y,z}) 로 입력해도 안되서 이렇게 질문합니다. - 1
-
세상의모든계산기
예시 8) 버그

실수해가 분명 3개인 상황인데...

x=-2.67537 과 x=-0.68638 은 왜??? 찾아진건지 모르겠음.
http://www.wolframalpha.com/input/?i=(x%2B1)%5E43-1000*x-1
-
세상의모든계산기
비교) nsolve vs solve

ㄴ 여기서 false 의 원인은 "Overflow replaced by ∞ or -∞"간혹 solve 로는 안나오는 답이 nsolve로는 나오는 경우가 있습니다.
이 때는 【ctrl】【enter】 가 도움이 될 수 있습니다. -
세상의모든계산기
예시10) 답이 반복되는 삼각함수에서 특정한 해만 찾을 때
-> 범위를 지정(추천)하거나, 추정값을 입력하시면 됩니다.
-
세상의모든계산기
복잡하지 않은 경우에는 공역≠치역 일 때,
solve 로 범위나 구간을 포함한 정답이 찾아집니다.

-
rPtkscal
[질문]
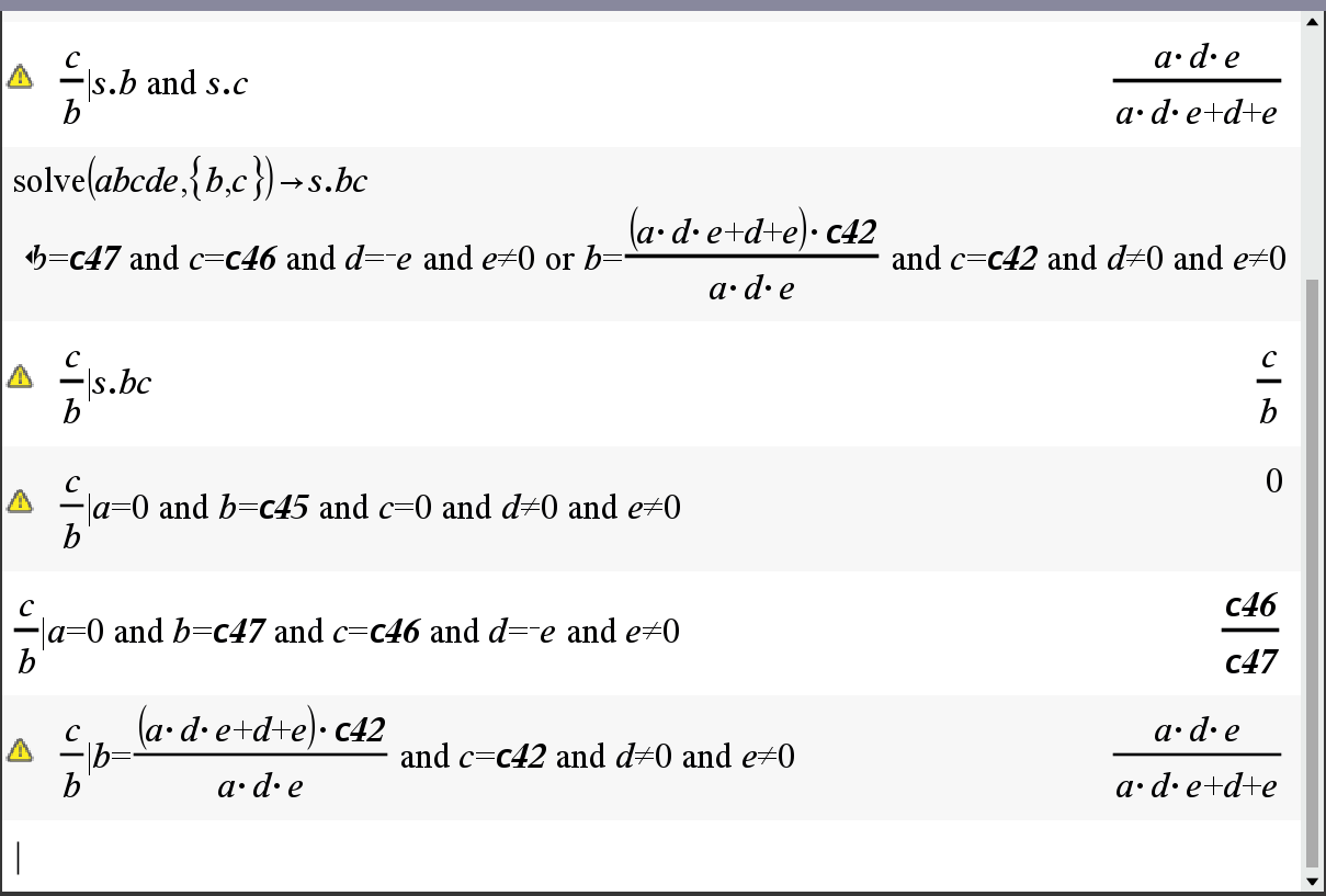
문자로 되어있는 식에서 원하는 문자들(분수)로 답을 정리하고 싶을 때 solve를 사용해서 표현할 수 있을까요?
https://allcalc.org/27981 이 글 처럼, 문자로 결과를 받으려고 합니다.a(b-c)=c/d+c/e 라는 식에서 c/b=dea/(ade+d+e) 이런 식으로 표현하고 싶은데, solve(a(b-c)=c/d+c/e, c/b)를 해보면 "Error: Argument must be a variable name."이라는 에러가 뜹니다. 혹시 어떻게 표현하면 구할 수 있을까요?
-
1
세상의모든계산기
[답변]
ⓐ solve(Equation, Var) ⇒ Boolean expression
c/b 는 Var 가 아니라 Expression 에 해당하기 때문에 에러가 나는 것입니다.
따라서 solve() 를 이용해서는 원하시는 답을 얻으실 수 없고,
제약식을 같이 섞어서 원하시는 답을 구하실 수 있습니다.[TI-nspire] 수식에 "|"(Constraint Operator) 조건식, 제약식을 붙이는 방법

ㄴ ▲ Warning : Domain of the result might be larger than the domain of the input.
-
2
세상의모든계산기
solve(abcde,{c,b}) 로 한번에 답을 구한 다음에
-> 통째로 집어넣어 답을 구하는 것이 가장 이상적입니다만,위에서는 그게 안되어서 solve() 를 두번 나누어 답을 구한 것입니다.

한꺼번에 넣었을 때 답이 안나오는 이유는,
s.bc 가 or 로 엮어진 3가지 경우의 답변을 포함하고 있기 때문입니다.▲ Warning : Constraint was ignored. Try evaluating a relation instead. For example, if
'Expr | (Condition_A or Condition_B)'
does not produce a desired result, try
'Var = Expr | (Condition_A or Condition_B)'3가지 경우를 각각 넣어보면 제각각 답이 나오기 때문에 답을 하나로 표시할 수 없는 것입니다.
앞선 답변에서처럼 s.b 와 s.c 를 각각 찾아서 답을 얻은 것에
느낌표(Warning) 경고가 나온 것도 경우에 따라 다른 답이 가능하기 때문에 발생한 거라고 보시면 되겠습니다.따라서 정확한 답은 아래에 3가지 경우를 모두 적으셔야 합니다.
-
1
세상의모든계산기
상수값을 a, b 에 지정하면,
문자변수 a, b 가 들어간 수식은 자동으로 a, b 가 숫자로 치환되어 사용됩니다.
따라서
solve 안에 숫자(상수)가 아닌 미지수 a, b 로 입력하려면 a, b 에 아무 값도 지정하지 말고 입력하시면 됩니다.
이미 지정되어 있다면 delvar 로 변수를 클리어(초기화)하고 사용하시구요.
[TI-nspire] 사용자 함수와 변수의 지정 (저장) 및 삭제 function and variables
https://allcalc.org/5752 -
세상의모든계산기
예시11) 선형 연립방정식에서 답이 false 로 나올 때
https://allcalc.org/55823

에러 메시지
세상의모든계산기 님의 최근 댓글
아 그렇네요. 감사합니다. ^^ 2026 04.28 정적분 구간에 미지수가 있고, solve 를 사용할 수 없을 때 그 값을 확인하려면? https://allcalc.org/57087 `SOLVE` 기능 내에 `∫(적분)` 기호를 사용할 수 없을 때 뉴튼-랩슨법을 직접 사용하는 방법 2026 04.15 뉴턴-랩슨 적분 방정식 시각화 v1.0 body { font-family: 'Pretendard', -apple-system, BlinkMacSystemFont, "Segoe UI", Roboto, Helvetica, Arial, sans-serif; display: flex; flex-direction: column; align-items: center; background: #f8f9fa; padding: 40px 20px; margin: 0; color: #333; } .container { background: white; padding: 40px; border-radius: 20px; box-shadow: 0 15px 35px rgba(0,0,0,0.08); max-width: 900px; width: 100%; } header { border-bottom: 2px solid #f1f3f4; margin-bottom: 30px; padding-bottom: 20px; } h1 { color: #1a73e8; margin: 0 0 10px 0; font-size: 1.8em; } p.subtitle { color: #5f6368; margin: 0; font-size: 1.1em; } .equation-box { background: #f1f3f4; padding: 15px; border-radius: 10px; text-align: center; margin-bottom: 30px; font-size: 1.3em; } canvas { border: 1px solid #e0e0e0; border-radius: 12px; background: #fff; width: 100%; height: auto; display: block; } .controls { margin-top: 30px; display: flex; gap: 15px; align-items: center; justify-content: center; flex-wrap: wrap; } button { padding: 12px 25px; border: none; border-radius: 8px; background: #1a73e8; color: white; cursor: pointer; font-weight: 600; font-size: 1em; transition: all 0.2s; box-shadow: 0 2px 5px rgba(26,115,232,0.3); } button:hover { background: #1557b0; transform: translateY(-1px); box-shadow: 0 4px 8px rgba(26,115,232,0.4); } button:active { transform: translateY(0); } button.secondary { background: #5f6368; box-shadow: 0 2px 5px rgba(0,0,0,0.2); } button.secondary:hover { background: #4a4e52; } .status-badge { background: #e8f0fe; color: #1967d2; padding: 8px 15px; border-radius: 20px; font-weight: bold; font-size: 0.9em; } .explanation { margin-top: 40px; padding: 25px; background: #fff8e1; border-left: 5px solid #ffc107; border-radius: 8px; line-height: 1.8; } .explanation h3 { margin-top: 0; color: #856404; } .math-symbol { font-family: 'Times New Roman', serif; font-style: italic; font-weight: bold; color: #d93025; } .code-snippet { background: #202124; color: #e8eaed; padding: 2px 6px; border-radius: 4px; font-family: monospace; } 📊 Newton-Raphson 적분 방정식 시뮬레이터 미분적분학의 기본 정리(FTC)를 이용한 수치해석 시각화 목표 방정식: ∫₀ᴬ (2√x) dx = 20 을 만족하는 A를 찾아라! 계산 시작 (A 추적) 초기화 현재 반복: 0회 💡 시각적 동작 원리 (Newton-Raphson & FTC) Step 1 (오차 측정): 현재 A까지 쌓인 파란색 면적이 목표치(20)와 얼마나 차이나는지 계산합니다. Step 2 (FTC의 마법): 면적의 변화율(미분)은 그 지점의 그래프 높이 f(A)와 같습니다. Step 3 (보정): 다음 A = 현재 A - (면적 오차 / 현재 높이) 공식을 사용하여 A를 이동시킵니다. 결론: 오차를 현재 높이로 나누면, 오차를 메우기 위해 필요한 가로 길이(ΔA)가 나옵니다. 이 과정을 반복하면 정답에 도달합니다! const canvas = document.getElementById('graphCanvas'); const ctx = canvas.getContext('2d'); const iterText = document.getElementById('iterText'); // 수학 설정 const targetArea = 20; const f = (x) => Math.sqrt(x) * 2; // 피적분 함수 f(x) = 2√x const F = (x) => (4/3) * Math.pow(x, 1.5); // 정적분 결과 F(x) = ∫ 2√x dx = 4/3 * x^(3/2) let A = 1.5; // 초기값 let iteration = 0; let animating = false; // 그래프 드로잉 설정 const scale = 50; const offsetX = 60; const offsetY = 380; function drawGrid() { ctx.strokeStyle = '#f1f3f4'; ctx.lineWidth = 1; ctx.beginPath(); for(let i=0; i 2026 04.11 참값 : A = ±2√5 근사값 : A≈±4.472135954999579392818347 2026 04.10 fx-570 ES 입력 결과 초기값 입력 반복 수식 입력 반복 결과 2026 04.10