- 세상의 모든 계산기 자유(질문) 게시판 질문 ()
카시오 9860g3 계산기 비선형 연립방정식 문의 드립니다..

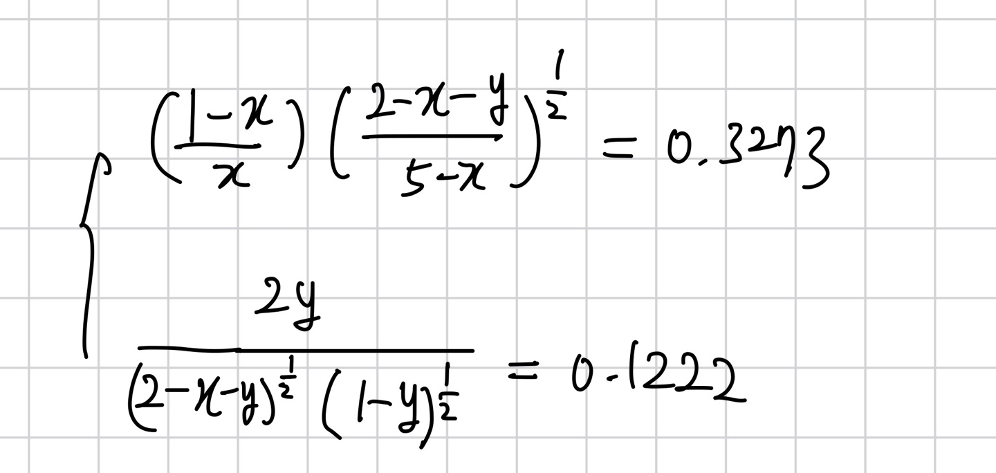
다음과 같은 두개의 복잡한 식을 계산기로 풀어야 합니다..
Solve N 함수를 이용해서 해야할 것같은데 제가 생각한바로는
SolveN(식1,식2,x,y) 순으로 해야 할 것 같아서 뒀는데 syntax error가 뜨네요 ㅠ.
혹은 두 식을 연립하는 커맨드가 있나요 ㅠ 아니면 어떻게 풀어야할까요?
정말 뒤져보다가 안나와서질문드립니다.. 살려주세요
댓글7
-
세상의모든계산기
1. 손으로 x=, y= 꼴로 정리

2. y=~~~~ 를 x=~~~에 대입하기로 결정
3. 계산기에 y= 부분은 제외하고 수식을 입력. 후 【EXE】

4. 방향키로 입력했던 수식을 찾아가서 【SHIFT】【8】CLIP 하면 메뉴가 나옴
【F1】CPY.L (하이라이트된 라인 전체를 복사함)
5. SolveN(을 찾아 입력하고 X에 대한 수식을 완성
X=2-()-(4*()^2)/((1-())*0.1222^2) 을 먼저 입력하고

비어있는 괄호자리(Y) 3군데에 CLIP된 내용을 복사 【SHIFT】【9】PASTE 해 넣으면 수식 완성됨.

* 더하기는 상관없지만 빼기 자리인 경우 복사해 넣는 곳의 빼기와 결합해 부호가 뒤집어질 수 있으므로 꼭 괄호 해야 함.
6. 【EXE】를 눌러 solve 진행.


7. 나온 결과값 List Ans 를 X에 저장하고 Y값을 찾음


8. 검증
하나는 맞고, 하나는 아닌 것 같은데... 검증을 어떻게 해야할지?
X, Y 순서쌍을 각각 저장하고 원래 식에 대입해보는 수밖에 없지 않나?


부호가 반대이므로 이 값은 해가 아님.
-
세상의모든계산기
fsolve() 로 해도
초기값 안넣으면 에러나고,
fsolve([E1, E2],[x=0.5,Y] 넣으니 답은 찾아지네요.

계산기어려옹 님의 최근 댓글
사진이 중복 첨부됬습니다. 2024 11.19