• SEARCH

    통합검색
세모계
    • Dark Mode
    • GNB Always Open
    • GNB Height Maximize
    • Color
    • Brightness
    • SINCE 2015.01.19.
    • 세모계 세모계
    •   SEARCH
    • 세상의 모든 계산기
      • 자유(질문) 게시판
      • 계산기 뉴스/정보
      • 수학, 과학, 공학 이야기
      • 세모계 : 공지 게시판
        • 구글 맞춤검색
    • TI
    • CASIO
    • HP
    • SHARP
    • 일반(쌀집) 계산기
    • 기타계산기
    • by OrangeDay
  • 세상의 모든 계산기 자유(질문) 게시판
    • 세상의 모든 계산기 자유(질문) 게시판 질문 ()
    • Ti Nspire CAS CX - 정적분 구간에 무한대 가능한지? / 정적분 결과 오류

      • 나였으면
      • 2024.11.09 - 20:52 2016.11.17 - 01:38 4583 4

    원제목 : [일반] 안녕하세요!! Ti Nspire CAS CX 계산기 질문드립니다!!

    수정제목 : [질문] Ti Nspire CAS CX - 정적분 구간에 무한대 가능한지? / 정적분 결과 오류


    안녕하세요. 이번에 Ti Nspire CAS CX 계산기 사기전에 성능 확인차 30일 무료 프로그램을 쓰고 있습니다.

    그래서 설명서가 없다보니 에로사항이 좀 있네요 ㅜㅜ

     

    첫번째로 정적분 구간내에 무한이 오면 안되는것인가요??(첨부파일 : 오류)

    오류.PNG

     

    풀기 까다롭지 않은 지수분포함수 임에도 불구하고 Undef오류가 생기네요...

     

    두번째로 계산기에 출력된 정적분 값이 제가 실제로 계산한 값과 오류가 생깁니다.(첨부파일 : 오류2)

    오류2.PNG

     

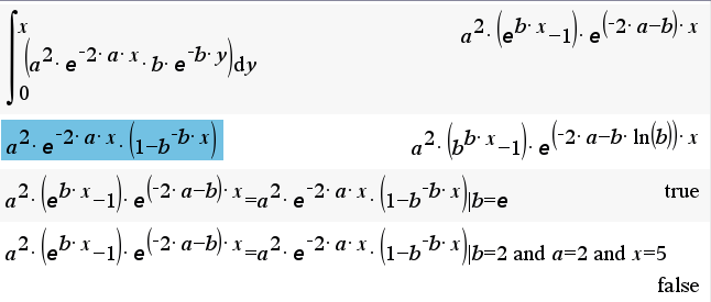
    회색 부분 계산값이 a^2 * e^(-2ax) * [1 - b^(-bx)]로 되어야하나

    계산기에는 엉뚱한 값이 출력됩니다.

     

    이 불쌍한 저를 부디 구제해주세요 ㅜㅜ

    Attached file
    오류.PNG 6.8KB 146오류2.PNG 19.8KB 147
    이 게시물을..
    N
    0
    0
    • 욕실 변기 - 필밸브 구조 - Fill Valve, Diaphragm세상의모든계산기

    댓글4

    • Profile 0
      세상의모든계산기
      2024.07.05 - 14:37 2016.11.17 - 09:09 #19072

      0. 설명서

      TI 홈페이지에서 pdf 설명서 파일을 받아보실 수 있습니다. (영문)

       

      1. 정적분 구간에 무한대 (이상적분) 가능한지?

      안되는 문제도 있고 되는 문제도 있습니다.

      간단한 예시로 integrate 1/(x^2) from x=1 to infinity 하면 답이 1로 나옵니다. 

      image.png

      수식을 단순화시키거나 제약조건(constraint operater)을 추가하면 결과가 나오기도 합니다. 


      이 문제에서는 |a>0 을 뒤에 붙여 보시면
      (【ctrl】 【=】 을 누르시면 constraint operator 를 입력하실 수 있습니다) 

      kArmTI_v1.80_2016-11-17_09-14-59.png

      답이 1로 나오는데 원하시는 결과일지 모르겠습니다.


      2. 결과의 오류 (=예상 결과와의 차이)

      chrome_2016-11-17_09-06-01.png

      울프갓도 같은 결과를 내어주는 것을 보니 nspire 가 유죄인 것 같진 않습니다.

       

      조금 더 확인을 해보시는게 좋겠습니다.

      수학과 담쌓은지 너무 오래라서 (사실 예전에도 잘 못했구요 ^^) 수학적인 부분은 도움 드릴 수가 없네요.

      Attached file
      chrome_2016-11-17_09-06-01.png 33.1KB 134 kArmTI_v1.80_2016-11-17_09-14-59.png 4.8KB 167 image.png 5.2KB 34
      댓글
    • 0
      작성자
      2016.11.17 - 15:55 #19078
      감사합니다
      덕분에 해결 되었습니다!!
      2번같은 경우에 전개해보니 같은식이었네요 ㅜㅜ
      댓글 수정 삭제
    • Profile 0
      세상의모든계산기
      2024.07.05 - 14:51 2024.07.05 - 14:39 #43670

      image.png

      ㄴ b=e 일 때는 같은 식이 되는데, 다른 값일때도 true 일지는??

      Attached file
      image.png 22.0KB 29 infinitesame.tns 1.7KB 18
      댓글
    • Profile 0
      세상의모든계산기
      2024.11.09 - 20:53 2024.11.09 - 20:52 #52151

      image.png

      리미트 기호와 결합하여 사용하여 해결될 수도 있습니다. 경우에 따라...

      Attached file
      image.png 57.3KB 17
      댓글
    • 댓글 입력
    • 에디터 전환
    댓글 쓰기 에디터 사용하기 닫기
    • view_headline 목록 수정 삭제
    • 14px
    • 욕실 변기 - 필밸브 구조 - Fill Valve, Diaphragm
    • 목록
      view_headline
    • 수정
    • 삭제
    4
    × CLOSE
    전체 일반 385 질문 502 웃김 2 팁 & 정보 16 퀴즈 2 리뷰 11 퍼옴 & 링크 6 공지 1
    기본 (933) 제목 날짜 수정 조회 댓글 추천 비추
    분류 정렬 검색
    • "회원 로그인/가입 버튼 어딨나요?"
      2024.09.13 - 18:54 406093
    • [필독] 사이트 운영원칙 & 게시판 이용시 주의사항 (주제 / 제목 / 질문글)
      1
      2015.03.31 - 11:21 409975 1
    • [필독] 계산기 질문글 작성시 주의사항! (부제 : 바람직한 질문글 작성 요령)
      2
      2015.03.01 - 08:58 225330 2
    • 933 일반 미래 AI의 세 번째 임계점: '자율 AI 에이전트'와 '효율성'의 만남
    • 세상의모든계산기 2025.11.06 - 13:04 26
    • 미래 AI의 세 번째 임계점: '자율 AI 에이전트'와 '효율성'의 만남 첫 번째 임계점이 '계산량'으로 딥러닝의 잠재력을 폭발시켰고, 두 번째 임계점이 '규모'를 통해 LLM의 범용성을 증명했다면, 다가올 세 번째 임계점은 전혀 다른 화두를 던집니다. 바로 '효율성'입니다. 무한정 커질 수 없는 에너지와 비용의 한계 속에서, AI가 한 단계 더 도약하기 위해 반드시 넘어야 할 산입니다. 그리고 이 효율성의 임계점은 우리에게 새로운 차원의 AI, 바로 '자율 AI 에이전트'를 선물할 것입니다. 세 번째 임계점이 만들어낼 AI: 자율 에이전트 ...
    • 932 일반 AI 발전의 두 번째 임계점: LLM과 창발적 능력의 시대. written by gemini-2.5
    • 세상의모든계산기 2025.11.06 - 13:00 27
    • 첫 번째 임계점에서 GPU와 딥러닝의 만남은 '계산량'이 곧 성능이라는 공식을 증명했습니다. AI는 이미지 인식, 음성 번역 등 특정 작업(Specific Task)에서 인간을 뛰어넘기 시작했습니다. 하지만 AI가 인간처럼 다양한 작업을 수행하는 범용적인 지능을 갖는 것은 여전히 먼 미래의 일처럼 보였습니다. 그리고 2017년 이후, 그 미래를 앞당긴 '두 번째 임계점'이 도래합니다. 바로 대규모 언어 모델(LLM, Large Language Model)의 등장입니다. 기술적 초석: 트랜스포머 아키텍처 LLM 혁명의 시작은 2017년 구글이 발표한 논문 "Attention...
    • 931 일반 AI 발전의 첫 번째 임계점: GPU와 딥러닝 혁명. written by gemini-2.5
    • 세상의모든계산기 2025.11.06 - 12:56 24
    • AI 발전의 첫 번째 임계점: GPU와 딥러닝 혁명 인공지능(AI) 기술이 지금처럼 세상을 바꾸리라고 모두가 예상했던 것은 아닙니다. 몇 차례의 'AI 겨울'을 겪으며 AI 연구는 더디게만 흘러가던 시기가 있었습니다. 하지만 2012년, AI 역사에 길이 남을 거대한 변곡점이 찾아옵니다. 바로 '딥러닝(Deep Learning)' 알고리즘과 'GPU(Graphics Processing Unit)'라는 하드웨어의 운명적인 만남이었습니다. 이는 AI 발전의 '첫 번째 임계점'으로 기록됩니다. ㄴ 한글은 어려운가? 계산량의 벽에 갇혔던 AI 사실 딥러닝의 핵심 아이디어인 인공 ...
    • 930 일반 적록 색약 보정 렌즈(안경) 를 컴퓨터로 시뮬레이션 해본다면?
    • 세상의모든계산기 2025.11.04 - 13:43 145 7
    • 색약 보정 안경 (렌즈) 엔크로마? 크로마젠? 이 대표적인 것으로 알고 있고, 요즘은 국내업체(돌턴)도 있는 듯 합니다. 그 외에도 못들어본 회사 제품이 판매되는 상황으로 파악됩니다. 안경 외에 렌즈도 있고, 황금 나노입자 뭐 그런 렌즈도 개발했다는 기사도 보고 그랬습니다. 그런데, 제대로 돌아가는 회사는 없는 느낌? 원리 https://scent.kisti.re.kr/site/main/archive/article/%EC%83%89%EC%B1%84%EC%9D%98-%ED%96%A5%EC%97%B0%EC%9D%84-%EB%8A%90%EB%81%BC%EA%B2%8C-%ED%95%98%EB%8A%94-%EC%83%89%EB%A7%B9-%EC%95%88%EA%B2%BD%E...
    • 929 일반 ti nspire cx cas2 sgn 함수 입력
    • ㅇㅇ

      2023.12.10 - 06:39 916 4
    • 안녕하세요. ti nspire cx2 cas 계산기에 sigum 함수를 입력하려면 어떻게 해야하나요? sgn이나 signum이라고 치면 안 나와서 여쭤봅니다.
    • 928 질문 [HP Prime] Solve로 삼각함수 해가 안나옵니다
    • KaebbiDo 2025.10.16 - 10:23 373 13
    • SOLVE(SIN(x)=1)로 하거나 범위를 지정해주더라도 pi/2라는 답이 안나옵니다
    • 927 (복잡한 다항식 수식에서) 계산기 내부 유효 자릿수에 따른 approx() 오차
    • 세상의모든계산기 2025.10.22 - 12:05 168 6
    • TI-nspire 기종에 대한 solve 질문글에 대해 답변을 하던 중 이상한 점을 발견하였습니다. https://allcalc.org/55823 평소에는 방정식의 해를 numeric 한 방식으로 solve 를 이용해 찾는 것보다, vs (소숫점을 없애서) exact 방식으로 참 값을 먼저 구하고 → 그 값에 대한 근사값 approx(참 값) 을 구하는 것이 더 정확했습니다. 그런데 이번에는 반대로 오차가 커지는 겁니다. 이 궁금증을 해결하기 위해 직접 분석을 진행해 보았습니다. 1. 분석 대상 수식 분석에 사용된 수식은 다음과 같습니다. cos, sin의 단위는 모두 degree입니다....
    • 926 질문 Ti nspire cx2 cas 연립방정식 계산 오류
    • 1234

      2025.10.21 - 09:07 195 17
    • 안녕하세요? 계산기의 연립방정식 풀이에 문제가 있는 것 같아 질문을 올립니다. 수식이 길어 나눠서 사진을 찍은 점, 양해 부탁드립니다. 위의 3개의 사진은 삼각함수를 이용하여, 연립방정식을 구성, 아래의 3개의 사진은 삼각함수의 값을 대입하여, 연립방정식을 구성한 것입니다. 삼각함수로 방정식을 구성할 땐, false가 나오나, 값을 입력하면 해가 잘 나옵니다. 이런 경우는 삼각함수로 구성된 방정식을 계산기가 소화하지 못하는 건가요? 아님, 제가 작성한 방정식에 오류가 있는 건가요? 감사합니다.
    • 925 질문 TI NSPIRE CX CAS에서 부분 분수 문의 드립니다.
    • 조니 2025.10.14 - 01:29 244 4
    • 안녕하십니까. 세모계님 부분분수로 결과 값을 표현을 해야 할 때가 있습니다. 그런데 사용해보니 계산기에서는 결과 값이 부분분수로 표현이 안되더라고요. 혹시 부분분수로 나타내주는 방법이 있는지 문의 드립니다.
    • 924 일반 미니 PC (N100, Firebat AK2 PLUS) 설정 관련 => 최종 고장
    • 세상의모든계산기 2024.09.09 - 21:10 5090 11
    • 23년 10월에 알리에서 구입했던 N100 기반의 미니 PC 관련 설정을 정리해 두려고 합니다. - 16GB, 512GB 모델로 주문했고, 당시 주문액: ₩136,858 이었습니다. 지금은 더 오른 듯 합니다. - 도착하고 보니 중국산 램(KINSOTIN, 2666MHz)에, 중국산 NVMe(Wicgtyp, N900-512) 라서 업그레이드 해서 주문한 것을 살짝 후회하기도 했습니다. (보조용으로 돌리는 것이긴 하지만) 지금까지 11개월동안 안죽고 살아 있으니, 할 역할은 다 했다고 보여집니다. - 내부에 USB-C 포트가 하나 있는데, 정상 작동한다는 분이 있으나, 제 껀 전원공급만 ...
    • 923 일반 세모계 사이트에서 파일 업로드 에러 (Type 7) 발생할 수 있습니다.
    • 세상의모든계산기 2025.10.13 - 22:58 203
    • '파일 업로드 및 이미지 업로드 할 때에 Type 7 에러가 발생하며 업로드되지 않는 증상이 있다'는 회원분의 제보가 있었습니다. 최근에 사이트 관련 설정을 변경한 일은 없었기에, 뭐가 문제일지 감이 잘 오지 않습니다. 파일 사이즈 문제인가 싶어서 - php 설정에서 파일 업로드 사이즈를 키우고 서비스 재시작 - rhymix(게시판 관리 프로그램)에서 간단한 리셋을 진행하였습니다. 이후에 여차저차 테스트 해 보던 중, 증상을 재현할 수 있었는데요. ㄴ 로그아웃 후 비회원으로 업로드 시도 ㄴ 이미지 / 일반 파일 동일하게 에러 발생 ㄴ ...
    • 922 일반 언어의 유형과 만남: 고립어, 교착어, 그리고 한본어 현상에 대한 탐구 (written by Gemini)
    • 세상의모든계산기 2025.10.09 - 23:56 357 1
    • title : 한글날 authr : 한국저작권위원회by site : 공유마당 저작권 위원회 is licensed under 한국저작권위원회 의 "한글날" 은 CC BY 라이선스로 제공됩니다. 왜 우리는 영어 단어를 한국어 문장에 그대로 넣으면 어색하게 느끼는 반면, 일본어 단어는 비교적 자연스럽게 섞어 쓸 수 있을까? 그 답은 각 언어가 가진 고유의 '설계도', 즉 문법 구조에 있다. 이 글에서는 세계의 언어를 구조에 따라 세 가지 유형으로 나누어 보고, 서로 다른 설계도를 가진 언어들이 만났을 때 어떤 일이 벌어지는지, 그리고 '한본어'와 같은 우리 주변...
    • 921 질문 TI NSPIRE CX CAS에서 COMPLETESQUARE 관련 문의 드립니다.
    • 조니 2025.10.08 - 07:49 469 3
    • 안녕하십니까 세모계님 예제와 같이 결과값을 역으로 completesquare로 나타내고 싶은데 되지를 않습니다. 방법이 있으면 좀 가르쳐 주세요. 늘 감사드립니다. 행복한 한가위 되세요.
    • 920 질문 TI NSPIRE CX CAS 복소수 연립 방정식 도메인 오류 질문 있습니다
    • 개미안토넬리 2025.10.04 - 23:34 428 1
    • 안녕하세요. Ti 계산기로 회로이론 관련 복소수 연립 방정식을 풀려고 합니다. 현재 세팅은 degree-polar입니다. 메뉴-3-7-1 눌러 solve() 띄운 뒤에 앞에 c붙여 csolve 사용하려고 했습니다. 도메인 에러가 뜨는데 혹시 어느 부분이 문제인지 알 수 있을까요? 혹은 다른 방법을 사용해 풀어야 할까요? 감사합니다.
    • 919 질문 TI NSPIRE CX CAS에서 복소수 표현 문의 드립니다.
    • 조니 2025.09.28 - 21:17 540 4
    • 세모계님 안녕하세요 복소수를 표현할 때 e로 표현을 합니다. 그렇게 해서 복소수를 덧셈이나 뺄셈을 하면 결과값이 실수부와 허수부로 나옵니다. 그런데 역으로 e의 덧셈이나 뺄셈으로 다시 표현을 할 수 있는 방법은 없나요? tcollect는 문자의 조합처럼 복잡한 경우에는 결과 값이 안 나와서 그렇습니다. 아니면 문자 조합에서도 tcollect가 되는 방법을 알려주시면 감사하겠습니다. 늘 감사합니다.
    • 918 일반 iptime 공유기 (AX2004T), 유선 핑 테스트 결과 (Ping Test)
    • 세상의모든계산기 2025.09.24 - 18:02 647 11
    • 테스트 장비 - 공유기#1 : Asus AC-68U - 공유기#2 : iptime AX2004T ㄴ https://prod.danawa.com/info/?pcode=95848220&keyword=ax2004t&cate=112804 - 노트북 : HP Victus, Realtek RTL8852AE WiFi6, Realtek Gaming GbE Family Controller 테스트 절차 * 정확한 값을 얻기 위해 파이썬 ping3 라이브러리를 활용함. * 노트북(윈도우11) 에서 ping 을 대략 100회 정도 실시함. * 노트북과 공유기는 장애물 없이 50cm 정도 떨어져 있음. * 공유기#2(AX2004T)에는 노트북 외에 물려있는 장치는 없고, 테스트 중 다른 작업 하지 않음. * 공유...
    • 917 자동차 급발진 공포를 조장하지 말자!
    • 세상의모든계산기 2024.08.05 - 21:12 789 7
    • 자동차 급발진은 실제로 있을까? 당연히 자동차 급발진은 실제한다. 모든 기계는 오작동 가능성을 가진다. 예전에 운전했던 아반떼 XD 차량에서 처음 시동걸 때, 굉음이 나면서 RPM이 3000~4000정도까지 올라갔었던 기억이 있다. 주행중이 아니더라도 이 상황이 되면 엄청 무섭다. 다행이 주행중에는 나타나지 않았고, 오작동의 이유는 산소센서 이상이었던 것으로 기억한다. 요즘차라도 1. 악셀레이터를 내 발로 지금 밟지 않고 있는데 엔진 RPM이 치솟아 그것이 동력(=바퀴 회전)으로 전달되고, 2. 브레이크는 밟아도 전혀 속도감소에 도...
    • 916 자동심장충격기, AED 내 주변에 설치된 곳 확인하기
    • 세상의모든계산기 2025.09.06 - 09:49 455 1
    • 중앙응급의료센터 https://www.e-gen.or.kr/egen/search_aed.do?searchType=map&cookieYN=Y 신경써서 보지 않으면 근처에 있어도 모를 수 있으니, 미리 알아놓으면 좋겠네요. * 법정 의무 설치기관은 신고의무도 있어서, 그런 곳에 설치된 장소는 모두 검색 가능할 듯 합니다. 2024년 자동심장충격기 설치 및 관리 지침(제7판) https://www.mohw.go.kr/board.es?mid=a10409020000&bid=0026&act=view&list_no=1481316&tag=&nPage=1
    • 915 일반 욕실 변기 - 필밸브 구조 - Fill Valve, Diaphragm
    • 세상의모든계산기 2025.08.28 - 11:31 470
    • 필밸브 내부 구조(다이어 프램)에 대해 나온 한글 설명이 없어서 찾아 봤습니다. 이미지 출처 https://helpfulcolin.com/toilet-silent-fill-valve-works/ 1. 닫힘 2. 물탱그 비워짐 -> 물 채워짐 3. 필 밸브 서서히 닫힘 4. 채우기 주기 종료됨. 이미지 셋 1
    • 914 질문 TI NSPIRE CX CAS에서 극한값 질문 다시 한번 문의 드립니다.
    • 조니 2025.08.03 - 23:34 964 6
    • 안녕하세요. 세모계님 이번에는 조금 특이한 경우로 가져와 봤습니다. 시그마가 일반항으로 표현이 안되는 경우입니다. 그런 경우는 극한값이 구해지지 않네요. 그런데 바젤함수라고 수학적으로 극한값이 증명이 된 문제입니다. 방법이 없을까요? 늘 감사드립니다.
    • 1 2 3 4 5 6 7 8 9 10 .. 47
    • / 47 GO
    • 글쓰기
    • 세상의 모든 계산기 자유(질문) 게시판
    • 세상의모든계산기
    • 사업자등록번호 703-91-02181
    • 세모계 all rights reserved.