- CASIO 570
[fx-570 ES] 기종에서 복소수 1차 연립 방정식 풀기 (feat. 역행렬 공식)
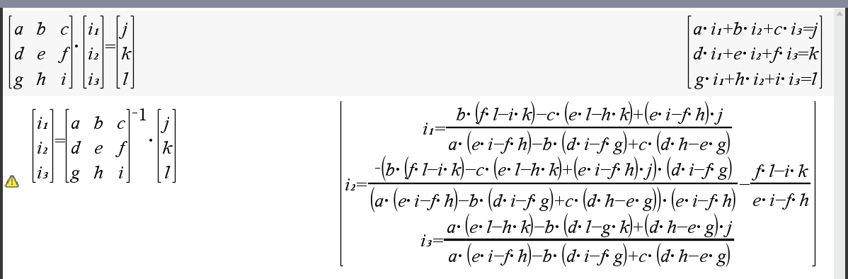
1. fx-570 ES의 한계
- EQN : 복소수 입력 불가
- Matrix : 3*3 행렬까지만 입력 가능 & 복소수 입력 불가
2. 공식

예시) a=0.2+0.2i, b=-0.1i and c=-0.1i, d=0.1-0.1i, e=1, f=0.5i 일 때,
위에 보시는 것처럼 행렬의 역함수를 이용하면 연립 방정식의 해를 구할 수 있습니다.
이것은 행렬의 요소가 복소수일 때도 성립합니다.
따라서 아래 두개의 공식만 기억하신다면 복소수 연립방정식을 fx-570ES 기종에서도 풀 수 있습니다. (물론 [EX]도 가능)
3. 입력 순서
1. CMPLX 모드로 진입합니다.
2. A, B, C, D, E, F 변수에 각각의 값을 저장합니다.
A값 저장 : 【0.2】【+】【0.2】【ENG】【SHIFT】【RCL】【(-)】

나머지도 (같은 방식으로) 모두 저장.
팁)
모든 계수를 10배해서 2+2i→A, -i→B, -i→C, 1-i→D, 10→E, 5i→F 로 저장해도 됩니다.
원래 숫자보다 버튼 입력 횟수가 줄어듭니다.
3. 공식에 따라 i1 값을 구합니다.
A~F변수로 아래 수식을 만드시면 됩니다.

【믐】
【(-)】【ALPHA】【˚ ´ ˝】【ALPHA】【tan】【+】【ALPHA】【sin】【ALPHA】【cos】
【ALPHA】【(-)】【ALPHA】【sin】【-】【ALPHA】【˚ ´ ˝】【ALPHA】【hyp】【=】
4. 공식에 따라 i2 값을 구합니다.

A~F 변수를 사용하지 않더라도, 공식에 맞게 숫자(복소수)를 직접 대입해 계산해도 됩니다.

하지만
- 식이 길어질 수밖에 없어서 입력 과정 중 실수할 가능성이 있습니다.
- 또 Complex Mode 에서는 Stack 한계에 따른 계산 불가능 상황을 자주 겪기 때문에 불안한 감도 있습니다.
직접 대입하든 문자(A~F)를 사용하든, 마음 내키는 대로 하시면 됩니다.
댓글2
-
세상의모든계산기
한계 -이론상 3원 연립 방정식도 가능은 한데...
현실적으로 3원 연립방정식은 이 방식으로 구하기 어렵다고 봐야 함.

다 외웠다고 치고... 입력은 또 어느 세월에...
아... 570 급으로는 변수가 부족하구나...
변수 갯수가 허용되었다고 해도, 복소수 모드라면 Stack Error 가 났으려나?
헛된 꿈을 꾸었어...
세상의모든계산기 님의 최근 댓글
뉴턴-랩슨 적분 방정식 시각화 v1.0 body { font-family: 'Pretendard', -apple-system, BlinkMacSystemFont, "Segoe UI", Roboto, Helvetica, Arial, sans-serif; display: flex; flex-direction: column; align-items: center; background: #f8f9fa; padding: 40px 20px; margin: 0; color: #333; } .container { background: white; padding: 40px; border-radius: 20px; box-shadow: 0 15px 35px rgba(0,0,0,0.08); max-width: 900px; width: 100%; } header { border-bottom: 2px solid #f1f3f4; margin-bottom: 30px; padding-bottom: 20px; } h1 { color: #1a73e8; margin: 0 0 10px 0; font-size: 1.8em; } p.subtitle { color: #5f6368; margin: 0; font-size: 1.1em; } .equation-box { background: #f1f3f4; padding: 15px; border-radius: 10px; text-align: center; margin-bottom: 30px; font-size: 1.3em; } canvas { border: 1px solid #e0e0e0; border-radius: 12px; background: #fff; width: 100%; height: auto; display: block; } .controls { margin-top: 30px; display: flex; gap: 15px; align-items: center; justify-content: center; flex-wrap: wrap; } button { padding: 12px 25px; border: none; border-radius: 8px; background: #1a73e8; color: white; cursor: pointer; font-weight: 600; font-size: 1em; transition: all 0.2s; box-shadow: 0 2px 5px rgba(26,115,232,0.3); } button:hover { background: #1557b0; transform: translateY(-1px); box-shadow: 0 4px 8px rgba(26,115,232,0.4); } button:active { transform: translateY(0); } button.secondary { background: #5f6368; box-shadow: 0 2px 5px rgba(0,0,0,0.2); } button.secondary:hover { background: #4a4e52; } .status-badge { background: #e8f0fe; color: #1967d2; padding: 8px 15px; border-radius: 20px; font-weight: bold; font-size: 0.9em; } .explanation { margin-top: 40px; padding: 25px; background: #fff8e1; border-left: 5px solid #ffc107; border-radius: 8px; line-height: 1.8; } .explanation h3 { margin-top: 0; color: #856404; } .math-symbol { font-family: 'Times New Roman', serif; font-style: italic; font-weight: bold; color: #d93025; } .code-snippet { background: #202124; color: #e8eaed; padding: 2px 6px; border-radius: 4px; font-family: monospace; } 📊 Newton-Raphson 적분 방정식 시뮬레이터 미분적분학의 기본 정리(FTC)를 이용한 수치해석 시각화 목표 방정식: ∫₀ᴬ (2√x) dx = 20 을 만족하는 A를 찾아라! 계산 시작 (A 추적) 초기화 현재 반복: 0회 💡 시각적 동작 원리 (Newton-Raphson & FTC) Step 1 (오차 측정): 현재 A까지 쌓인 파란색 면적이 목표치(20)와 얼마나 차이나는지 계산합니다. Step 2 (FTC의 마법): 면적의 변화율(미분)은 그 지점의 그래프 높이 f(A)와 같습니다. Step 3 (보정): 다음 A = 현재 A - (면적 오차 / 현재 높이) 공식을 사용하여 A를 이동시킵니다. 결론: 오차를 현재 높이로 나누면, 오차를 메우기 위해 필요한 가로 길이(ΔA)가 나옵니다. 이 과정을 반복하면 정답에 도달합니다! const canvas = document.getElementById('graphCanvas'); const ctx = canvas.getContext('2d'); const iterText = document.getElementById('iterText'); // 수학 설정 const targetArea = 20; const f = (x) => Math.sqrt(x) * 2; // 피적분 함수 f(x) = 2√x const F = (x) => (4/3) * Math.pow(x, 1.5); // 정적분 결과 F(x) = ∫ 2√x dx = 4/3 * x^(3/2) let A = 1.5; // 초기값 let iteration = 0; let animating = false; // 그래프 드로잉 설정 const scale = 50; const offsetX = 60; const offsetY = 380; function drawGrid() { ctx.strokeStyle = '#f1f3f4'; ctx.lineWidth = 1; ctx.beginPath(); for(let i=0; i 2026 04.11 참값 : A = ±2√5 근사값 : A≈±4.472135954999579392818347 2026 04.10 fx-570 ES 입력 결과 초기값 입력 반복 수식 입력 반복 결과 2026 04.10 파이썬 코드 검증 결과 초기값: 5.0 반복 1회차: 4.5000000000 반복 2회차: 4.4722222222 반복 3회차: 4.4721359558 반복 4회차: 4.4721359550 반복 5회차: 4.4721359550 초기값: 10.0 반복 1회차: 6.0000000000 반복 2회차: 4.6666666667 반복 3회차: 4.4761904762 반복 4회차: 4.4721377913 반복 5회차: 4.4721359550 2026 04.10 감사합니다. 주말 잘 보내세요. 2026 03.06