• SEARCH

    통합검색
세모계
    • Dark Mode
    • GNB Always Open
    • GNB Height Maximize
    • Color
    • Brightness
    • SINCE 2015.01.19.
    • 세모계 세모계
    •   SEARCH
    • 세상의 모든 계산기
      • 자유(질문) 게시판
      • 계산기 뉴스/정보
      • 수학, 과학, 공학 이야기
      • 세모계 : 공지 게시판
        • 구글 맞춤검색
    • TI
    • CASIO
    • HP
    • SHARP
    • 일반(쌀집) 계산기
    • 기타계산기
    • by OrangeDay
  • 세상의 모든 계산기 계산기 뉴스/정보
    • 세상의 모든 계산기 계산기 뉴스/정보 ()
    • [공학용 계산기] (루트 안에 복소수,허수)를 계산하는 방법

    • Profile
      • 세상의모든계산기
      • 2024.09.17 - 12:53 2015.10.04 - 20:49 23228 8

    1. 내 계산기는 복소수(허수)의 제곱근을 구할 수 있나?

    'n제곱'해서 복소수가 나오는 복소수는 수학적으로 충분히 가능한 일이기 때문에, n√(복소수)도 구해볼법 합니다. 그렇다면 과연 계산기에서 그것을 그대로 입력해 계산할 수 있을까요? 

    늘 하는 얘깁니다만, 계산기마다 다릅니다.

    우선 계산기 기능으로 복소수를 다룰 수 있어야 하는 것은 당연한 일이겠구요. 
    위와 같이 식을 입력했을 때 에러가 나오지 않아야 하겠지요. 

    • 에러가 나는 모델 : [fx-570]
      cn_inroot_1.png cn_inroot_1_1.png
    • 계산이 되는 모델 : [fx-9860G]
      K-20160420-748285-32p.png

    계산 불능으로 에러가 난다면 우선 공식을 유도해서 답을 구해볼 수 있습니다.

     

    2. 제곱수를 이용한 방법 

     5+7i=a+bi 를 만족하는 a+bi (단, a와 b는 실수)를 찾아보겠습니다. 
     

    1. 양변을 제곱해 변형하면, (a+bi)2 = 5 + 7i  가 됩니다.
      이것은 변형한 식이지, 문제와 같은, 동치의 식은 아닙니다.
       
    2. 이 식을 풀면 
      12-30-2015 Image004.png
      a, b에 대한 2차 방정식이 생기고, {a,b} 에 대한 2쌍의 해를 구할 수 있습니다. (답도 2쌍)

      12-30-2015 Image005.png
      두 쌍의 해 모두 제곱해 보면 5+7i 를 만족함을 알 수 있습니다. 
       
    3. 그런데 이 해는 처음 식(=문제)의 해가 아니라, 변형한 식(=양변을 제곱한 식)의 해라는 것에 주의해야 합니다. 
      그럼 이 중에서 무엇이 진짜 근이고, 무엇이 가짜 근일까요?

      2.6079+1.34207i 가 진짜근이고 -2.6079-1.34207i 는 가짜근(무연근이라고 하던가요?)이라고 합니다. 
      실수의 제곱근에 양의 제곱근과 음의 제곱근이 있는 것과 같다고 보시면 될 듯 합니다. 
      자세한 내용은 "네이버 케스트"(링크) 글을 읽어보시면 도움이 되실 것 같습니다.

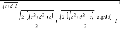
    위 풀이를 공식으로 정리하면 다음과 같습니다.

    K-20160127-453336-p32.png

     

     

    3. 페이저(극 좌표)를 이용한 계산법

    복소수(complex number)는 극좌표로도 나타낼 수 있는데, 극좌표는 곱하기/나누기 계산에 강점이 있습니다. 이를 이용해서 복소수근을 찾아볼 수 있습니다. 위의 공식을 이용한 계산보다 더 간단하며, 세제곱근, 네제곱근도 찾을 수 있는 장점이 있습니다.

    방법은 간단합니다. 

    1. 직교좌표를 극좌표(r, θ) 형식으로 변환합니다.
    2. r'=√(r), θ'=θ÷2 
    3. (필요하면) 2에서 계산된 값을 직교좌표(a+bi)로 다시 변환합니다.
      2017-11-03_08-21-22.png
      └ 각도 설정은 Degree / Radian 어느 것이나 상관이 없습니다.

    * 극좌표 ↔ 직교좌표를 변환하는 함수는 페이저 계산이 불가능한 최저가형 계산기(fx-350급, EL-509W급)에도 다 있는 기능입니다. 

    [fx-350] 직교좌표 ↔ 극좌표 변환 함수 Pol(), Rec() Coordinate Conversion

    [EL-509W] 직교좌표(Rect) ↔ 극좌표(Polar) 변환 기능 

     

    Attached file
    cn_inroot_1.png 763Bytes 258cn_inroot_1_1.png 991Bytes 23812-30-2015 Image004.png 5.0KB 25512-30-2015 Image005.png 3.3KB 255K-20160127-453336-p32.png 1.7KB 219K-20160420-748285-32p.png 700Bytes 2212017-11-03_08-21-22.png 9.5KB 149
    이 게시물을..
    N
    0
    0
    • 세상의모든계산기 25
      세상의모든계산기

      계산기는 거들 뿐
      혹은
      계산기를 거들 뿐

    세상의모든계산기 님의 최근 글

    미래 AI의 세 번째 임계점: '자율 AI 에이전트'와 '효율성'의 만남 52 2025 11.06 AI 발전의 두 번째 임계점: LLM과 창발적 능력의 시대. written by gemini-2.5 54 2025 11.06 AI 발전의 첫 번째 임계점: GPU와 딥러닝 혁명. written by gemini-2.5 49 2025 11.06 적록 색약 보정 렌즈(안경) 를 컴퓨터로 시뮬레이션 해본다면? 242 7 2025 11.04 [ticalc.org 펌] Gamma & Zeta function +more. 감마 제타 함수 외 181 2 2025 10.29

    세상의모든계산기 님의 최근 댓글

    참고 - [공학용 계산기] 로그의 입력 (log, ln) (feat. 밑 입력이 안되는 계산기는?) https://allcalc.org/14995 2025 11.14 HP-39gII 에 ExistOS 설치하기 https://allcalc.org/38526   2025 11.07   1. 왜 검은색이 아닌 다른 색으로 보일까? (제공된 LUT 필터)     제가 제공해 드린 magenta_lens.cube LUT 필터는 540~560nm(녹색-노란색) 파장대의 색상을 '완전히 제거(검은색으로   만듦)'하는 대신, '다른 색상으로 왜곡/변환'하도록 설계되었습니다.    * 원리: LUT(Look-Up Table)는 특정 입력 색상(Input RGB)을 미리 정해진 다른 출력 색상(Output RGB)으로 매핑하는      테이블입니다. 이 LUT는 540~560nm에 해당하는 RGB 값들이 들어오면, 검은색(0, 0, 0)이 아닌, 매우 어둡거나 채도가      낮은 특정 색(예: 어두운 올리브색, 갈색 등)으로 변환하라고 지시합니다.    * 의도:        * 현실적인 물리 필터 시뮬레이션: 실제 고가의 색약 보정 안경도 특정 파장을 100% 완벽하게 차단하지는 못합니다.          빛의 일부를 흡수하고 일부는 통과시키거나 변환하는데, 이 LUT는 그러한 현실 세계의 필터 효과를 더 비슷하게          흉내 냈을 수 있습니다.        * 시각적 정보 유지: 특정 색을 완전히 검게 만들면 그 부분의 형태나 질감 정보가 완전히 사라집니다. 하지만 다른          어두운 색으로 대체하면, 색상 정보는 왜곡되더라도 밝기나 형태 정보는 어느 정도 유지되어 전체적인 이미지가 덜           어색하게 보일 수 있습니다.   결론적으로, 스펙트럼 그림에서 해당 대역의 색이 갑자기 '다른 색으로 툭 바뀌는' 현상은, LUT 필터가 "이 파장대의   색은 앞으로 이 색으로 표시해!"라고 강제적으로 지시한 결과이며, 이것이 바로 이 필터가 작동하는 방식 그   자체입니다.     2. 왜 'Color Vision Helper' 앱은 검은색으로 보일까?     비교하신 'Color Vision Helper' 앱은 노치 필터의 원리를 더 이상적(Ideal)이고 교과서적으로 구현했을 가능성이   높습니다.    * 원리: "L-콘과 M-콘의 신호가 겹치는 540~560nm 파장의 빛은 '완전히 차단'되어야 한다"는 개념에 매우 충실한      방식입니다.    * 구현: 따라서 해당 파장에 해당하는 색상 정보가 들어오면, 어떠한 타협도 없이 그냥 '검은색(RGB 0, 0, 0)'으로      처리해 버립니다. 이는 "이 파장의 빛은 존재하지 않는 것으로 처리하겠다"는 가장 강력하고 직접적인 표현입니다. 2025 11.06 적용사례 4 - 파장 스펙트럼 https://news.samsungdisplay.com/26683   ㄴ (좌) 연속되는 그라데이션 ➡️ (우) 540 이하 | 구분되는 층(색) | 560 이상    - 겹치는 부분, 즉 540~560 nm 에서 색상이 차단? 변형? 된 것을 확인할 수 있음. 그럼 폰에서 Color Vision Helper 앱으로 보면? ㄴ 540~560 nm 대역이 검은 띠로 표시됨. 완전 차단됨을 의미   2025 11.05 빨간 셀로판지로도 이시하라 테스트 같은 숫자 구분에서는 유사한 효과를 낼 수 있다고 합니다. 색상이 다양하다면 빨강이나, 노랑, 주황 등도 테스트해보면 재밌겠네요. 2025 11.05
    글쓴이의 서명작성글 감추기 

    댓글8

    • Profile 0
      세상의모든계산기
      2015.12.30 - 10:44 2015.10.09 - 18:47 #7955

      울프람 알파 : http://www.wolframalpha.com/input/?i=sqrt%285%2B7i%29

       
      댓글
    • Profile 0
      세상의모든계산기
      2016.04.20 - 20:55 2015.12.09 - 14:04 #11427

      복소수와 제곱근 복소수 알아보기 복소수의 제곱근을 구하면 2개의 값이 나온다.<br>어느 쪽을 '양의 제곱근'으로 해야 할까?

      링크 : http://navercast.naver.com/contents.nhn?rid=22&contents_id=3809

       
      댓글
    • Profile 0
      세상의모든계산기
      2015.12.30 - 10:40 2015.12.30 - 10:37 #12879

      12-30-2015 Image006.png

      두 근을 잇는 직선과 실수(x)축 사이의 각도가 0이면, 실수의 두근(양의 근/음의 근)을 의미?

      12-30-2015 Image007.png

      Attached file
      12-30-2015 Image006.png 2.3KB 260 12-30-2015 Image007.png 4.2KB 358
      댓글
    • Profile 0
      세상의모든계산기
      2017.11.22 - 11:18 2015.12.30 - 11:06 #12884

      세제곱근

      12-30-2015 Image008.png

      일반해를 찾는 공식이 조금 복잡해집니다. 울프람 알파를 참고해야겠네요.

      http://www.wolframalpha.com/input/?i=solve%28c%3Da*%28a%5E%282%29-3*b%5E%282%29%29+and+d%3D%283*a%5E%282%29-b%5E%282%29%29*b%2C+%7Ba%2Cb%7D%29


      r, θ 를 이용한 방법을 쓰는 것이 훨씬 유리해집니다. 

       
      Attached file
      12-30-2015 Image008.png 5.2KB 284
      댓글
    • Profile 0
      세상의모든계산기
      2016.04.20 - 20:55 #17803

      무연근 無緣根

      <수학> 분수 방정식이나 무리 방정식을 풀기 위하여 정방정식을 유도하여 근을 구할 때, 정방정식의 근은 되지만 원래의 방정식의 근은 되지 않는 근.

      출처 : http://krdic.naver.com/detail.nhn?docid=14180300

      댓글
    • Profile 0
      세상의모든계산기
      2017.11.22 - 11:37 2017.11.02 - 17:17 #21856

      http://kin.naver.com/qna/detail.nhn?d1id=11&dirId=113111&docId=287596646

      [fx-570ES] COMP 모드 이용

      1. 【SHIFT】【+】로 Pol 함수를 불러내 입력
        fx-570ES PLUS Emulator_2017-11-02_17-23-51.png
        └ Degree 모드나 Radian 모드나 상관은 없습니다.
         
      2. 결과값을 종이에 적어두거나 머리로 암기할 필요 X
        r은 X, θ는 Y에 자동 저장됩니다.
         
      3. 【SHIFT】【-】 로 Rec 함수를 불러내 입력
        r 값은 루트를 씌워주고, θ 값은 ÷2 를 합니다.
        fx-570ES PLUS Emulator_2017-11-02_20-35-07.png
         

      CMPLX 모드에서는 Pol, Rec 함수를 이용할 수 없으므로 직접 수식에 대입시키는 방법 뿐입니다. arg 함수를 이용해 θ값을 찾을 수 있어서, 계산을 2단계로 나눠 할 필요는 없습니다. 

      fx-570ES PLUS Emulator_2017-11-02_17-38-55.png fx-570ES PLUS Emulator_2017-11-02_17-39-28.png
      r값은 위에서 보시는 것처럼 sqrt(3^2+4^2) 로 구할 수도 있고, Abs(3+4i) 로 구할 수도 있습니다.
      【SHIFT】【hyp】

      Attached file
      fx-570ES PLUS Emulator_2017-11-02_17-23-51.png 1.3KB 177 fx-570ES PLUS Emulator_2017-11-02_17-38-55.png 1.1KB 193 fx-570ES PLUS Emulator_2017-11-02_17-39-28.png 1.3KB 151 fx-570ES PLUS Emulator_2017-11-02_20-35-07.png 1.2KB 148
      댓글
    • Profile 0
      세상의모든계산기
      2017.11.22 - 11:47 2017.11.22 - 11:17 #22052

      계산 예시 (fx-570 ES)

      http://kin.naver.com/qna/detail.nhn?d1id=11&dirId=1131&docId=288850520

      1. 우선 복소수 계산과정이 필요하므로 CMPLX 모드를 사용해야만 합니다.
      2. 루트 안을 따로 계산하고 결과를 변수(A)에 저장합니다.
        fx-570ES PLUS Emulator_2017-11-22_11-27-45.png
      3. A의 극좌표(r∠θ) 꼴에서, r=Abs(A)은 변수(B)에 θ=arg(A)는 변수(C)에 저장합니다.
        fx-570ES PLUS Emulator_2017-11-22_11-31-00.png fx-570ES PLUS Emulator_2017-11-22_11-31-19.png
      4. √B∠(C÷2) 값을 구합니다. 
        fx-570ES PLUS Emulator_2017-11-22_11-32-08.png
        한 줄 입력시에는 괄호를 빼고 √B∠C÷2 로 입력하면 안됩니다.
      Attached file
      fx-570ES PLUS Emulator_2017-11-22_11-27-45.png 1.7KB 178 fx-570ES PLUS Emulator_2017-11-22_11-31-00.png 1.2KB 156 fx-570ES PLUS Emulator_2017-11-22_11-31-19.png 1.3KB 179 fx-570ES PLUS Emulator_2017-11-22_11-32-08.png 1.3KB 145
      댓글
    • 0
      늄늄
      2018.01.10 - 01:09 #22599
      좋은글 감사합니다~
      댓글 수정 삭제
    • 댓글 입력
    • 에디터 전환
    댓글 쓰기 에디터 사용하기 닫기
    • view_headline 목록
    • 14px
    • 목록
      view_headline
    8
    × CLOSE
    기본 (0) 제목 날짜 수정 조회 댓글 추천 비추
    분류 정렬 검색
    등록된 글이 없습니다.
    • 세상의 모든 계산기 계산기 뉴스/정보
    • 세상의모든계산기
    • 사업자등록번호 703-91-02181
    • 세모계 all rights reserved.