• SEARCH

    통합검색
세모계
    • Dark Mode
    • GNB Always Open
    • GNB Height Maximize
    • Color
    • Brightness
    • SINCE 2015.01.19.
    • 세모계 세모계
    •   SEARCH
    • 세상의 모든 계산기
      • 자유(질문) 게시판
      • 계산기 뉴스/정보
      • 수학, 과학, 공학 이야기
      • 세모계 : 공지 게시판
        • 구글 맞춤검색
    • TI
    • CASIO
    • HP
    • SHARP
    • 일반(쌀집) 계산기
    • 기타계산기
    • by OrangeDay
  • 세상의 모든 계산기 계산기 뉴스/정보
    • 세상의 모든 계산기 계산기 뉴스/정보 ()
    • [공학용 계산기] C.A.S (카스, CAS) 기능이란?

    • Profile
      • 세상의모든계산기
      • 2025.05.31 - 08:44 2015.02.13 - 12:56 20557 4

    1. CAS 기능이란? 

     

    image.png

    "C.A.S"는 Computer Algebra System 의 약자입니다. 

    한국말로 번역하면 계산기 대수학 체계? 정도가 되는데, 영어로든 한국어로든 감이 잘 안오실겁니다. 

     

    쉽게 설명해서 CAS 를 지원한다는 것은  

    "(숫자뿐 아니라) 문자로도 계산이 가능하다"것을 의미합니다. 

     

    계산기에  "a × 2a" 라고 입력하여

    그 결과가 "2a²" 로 표시될 수 있다면,

    그 계산기는 C.A.S 기능을 지원하는 기종입니다. 

     

    * 대표적인 CAS 기능 : 부정적분, 미분, 다항식의 전개/인수분해, ∑ 등을 이용한 문자 계산

    image.png

     

     

    2. 해당 기종

     

    대표적으로 많이 사용되는 보급형 모델인 fx-570 시리즈에는 CAS 기능이 없습니다. 

     

    CAS 기능이 있는 공학용 계산기는 대부분 비싸며,

    계산기 제조사별로 최상위 모델이 이에 해당합니다.

    • TI-89 시리즈 (단종)
    • TI-Nspire CAS : 단종
    • TI-Nspire CX CAS : 단종
    • TI-Nspire CX CAS II : 추천
    • HP 50G : 단종
    • HP - PRIME : 추천했었지만... (24년 말 기준 공식 수입업체 없음. 직구 필요)
    • CASIO fx-cp400 : 직구필요. 사용자 적음. 비추천
    • SHARP - 없음.
    • NUMWORKS : 직구필요. 사용자 적음. 비추천

    실물 계산기를 꼭 써야하는 상황이 아니라면 인터넷을 이용한 울프람알파가 가장 좋은 CAS 계산기입니다.

    위에 소개한 실물 계산기보다도 월등한 성능을 보여줍니다. 

    • http://www.wolframalpha.com

     

     

    3. 특징 및 주의사항

     

    1. 사용 제한
      CAS 계산기는 그 막강한 성능 때문에, 수업 및 시험에서 사용이 제한되는 경우가 많이 있습니다. 따라서 계산기 구매하기 전에 담당자(교수님, 선생님, 담당자, 관리책임자)에게 CAS 계산기 사용이 허용되는지부터 확인하셔야 합니다.
       
    2. 가격
      CAS 계산기는 가격이 비쌉니다. 최신 기종은 환율 따라 달라지는데 대략 15~25만원 사이입니다. 단종 모델인 경우 가격이 내려가는 경우도 반대로 올라가는 경우도 있습니다. 
      따라서 본인에게 꼭 필요한 기능인지 검토해보실 필요가 있습니다.
       
    3. 복잡함
      CAS 급 계산기는 기능이 많습니다. 별의별의별 기능이 다 들어가다보니, 단순 기능만을 사용하는 저가형 계산기보다 오히려 더 불편할 수도 있습니다. 
      AI처럼 내 생각을 읽어서 풀이를 해주는게 아니므로 어느 정도는 계산기 공부를 하겠다(=시간 비용도 어느 정도 필요함)는 마음가짐 정도는 있어야 합니다. 
    Attached file
    K-132.png 2.2KB 307image.png 105.2KB 73image.png 59.5KB 67cas_example.tns 1.7KB 63
    이 게시물을..
    N
    0
    0
    #CAS #공학용 계산기
    • 세상의모든계산기 25
      세상의모든계산기

      계산기는 거들 뿐
      혹은
      계산기를 거들 뿐

    세상의모든계산기 님의 최근 글

    [ticalc.org 펌] Gamma & Zeta function +more. 감마 제타 함수 외 23 2 2025 10.29 [fx-9860] 커서 모양 설명 10 2025 10.28 SHARP EL-738XT, TVM Solver 항목 입력 순서에 따라 결과값이 달라진다면? 30 2 2025 10.26 CASIO 모델명 fx-290A(?) fx-375ES A(?) 37 2025 10.26 fmax =함수의 최대값일 때의 x값, fmin =함수의 최소값일 때의 x값 47 1 2025 10.26

    세상의모든계산기 님의 최근 댓글

    2번 사진 3개 사진 공통적으로 구석(corner) 에 증상이 있다는 특징이 있네요.   영상 찾아보니 이 가능성이 가장 높은 듯 합니다.  https://www.youtube.com/watch?v=zxRBohepzwc ㄴ Liquid Crystal Leakage (액정 누설). ㄴ 손으로 밀어내니 주변으로 밀려나네요. 그래서 점으로 보이기도 하구요.  2025 10.29 500! 의 십진수 근사값 확인 500! = 1.22013682599111006870123878542304692625357434280319284219241358838 × 10^(1134) (참값, 울프람 알파) 2025 10.29 관련 라이브러리 https://allcalc.org/56263   sgn(x)   내장된 부호 함수(signum function)와 달리, 이 함수의 sgn(0)은 0을 반환합니다. 2025 10.29 라이브러리로 사용할 수 있습니다. (제작자 추천) 1. mylib 폴더에 넣기 2. Actions ➡️ library ➡️ refresh libraries 실행 하기  2025 10.29 ChatGPT-5 기호(÷, /, :) 자체는 의미적으로 같은 “나눗셈”을 뜻하지만, 문맥(사람이 쓰는 수학 vs 컴퓨터/프로그래밍)에 따라 해석 우선순위가 달라질 수 있습니다. 🔹 1️⃣ 전통 수학 표기 — ÷, /, : 수학 교과서, 논문, 일반 문서 등에서는 셋 다 의미적으로 “나누기”로 간주됩니다. 즉, 48÷2(9+3), 48/2(9+3), 48:2(9+3) 은 같은 의미로 받아들여야 합니다.   모두 사람의 수학 관행적 해석이 적용되어 48 ÷ 2 × (9+3) = 288 로 처리되죠. 즉, 기호가 바뀌어도 결과는 바뀌지 않습니다. 🔹 2️⃣ 컴퓨터·프로그래밍 문맥에서 / 사용 시 컴퓨터는 “생략된 곱셈(implicit multiplication)”을 따로 구분하지 못합니다. 따라서 다음 두 식은 완전히 다르게 인식됩니다. 표현 파이썬 등에서 해석 결과 48 / 2*(9+3) ((48 / 2) * (9+3)) 288 48 / 2(9+3) ❌ 문법 오류 (생략된 곱셈 인식 불가) — 즉, 컴퓨터 언어에서는 생략된 곱셈이 허용되지 않기 때문에, /는 반드시 명시적 *와 함께 써야 합니다. 🔹 3️⃣ “:” 기호의 경우 현대 수학에서는 “비율”을 나타내는 기호로 쓰입니다. a:b = \frac{a}{b} 따라서 (27 : 3(1+2)3) 같은 표현은 모호하거나 비표준적으로 간주됩니다. 대부분의 경우 계산기로는 입력 자체가 불가능합니다. ✅ 정리 기호 의미 결과 변화 주로 쓰이는 문맥 ÷ 나누기 없음 초중등 수학, 일반 표기 / 나누기 없음 (단, 프로그래밍에서는 생략 곱 불허) 수학/컴퓨터 : 비율 (또는 나누기 의미로 혼용) 보통 계산식에서는 사용 안 함 비, 비율 표기 🔹 결론 48 ÷ 2(9+3),  48/2(9+3), 48:2(9+3) 는 “수학적 의미”로는 동일하게 81로 해석됩니다. 하지만 프로그래밍이나 수식 파서(context) 에서는 /만 유효하고, 생략된 곱은 허용되지 않으며, :는 아예 다른 의미(비율)로 인식됩니다. 2025 10.28
    글쓴이의 서명작성글 감추기 

    댓글4

    • Profile 0
      세상의모든계산기
      2024.10.26 - 16:08 2015.04.06 - 19:59 #6343

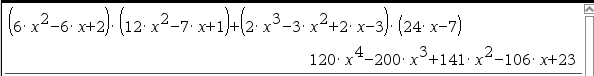
      예시 : 문자식의 계산


      K-20150406-719369.png

       

      Attached file
      K-20150406-719369.png 4.1KB 340
      댓글
    • 0
      계산기
      2022.05.21 - 00:16 2022.05.21 - 00:16 #36934
      안녕하세요 9860G3에 cas 설치했는데 들어가서 다변수(x1, x2, x3)에 대한 계산은 어떻게하나요? X, Y, Z로 설정하는건가요?
      14:19, XCAS, RAD, SESSION 등 너무 많은 메뉴가 있어서 뭘 눌러야 계산되는지 모르겠네요 ㅠㅠ
      댓글 수정 삭제
    • Profile 1
      BINUBALL
      2022.05.21 - 22:44 #36939
      14:19, XCAS, RAD, SESSION은 그냥 상태 창입니다. 영어가 되시면 공식 문서를 읽어 보시는 것을 추천드립니다.
      https://www-fourier.ujf-grenoble.fr/~parisse/casio/khicasioen.html
      함수 지정은 아래와 같은 형식으로 가능합니다.
      f1(x,y,z):=x+y+z
      f1(1,2,3) 결과 6
      댓글
    • Profile 0
      세상의모든계산기
      2024.10.26 - 16:09 2016.04.07 - 13:54 #17178

      CAS 공학용 계산기 추천


      • 이것저것 살펴봤는데도 복잡해서 잘 모르겠다면
        그냥 [TI-Nspire CX II CAS] 를 구입하시면 됩니다. 
      • 가격이 부담되면 [HP 50g], 단점(구형에 사용자 부족하여 도움받기 쉽지 않음) // 단종으로 구할 수 없음.
      • 구형 모델도 상관없다면 [TI-Nspire CAS] 중고,
        단점:구형이라 많이 느립니다. 
      • 뭔가 색다른걸 추구하면 HP Prime 도 좋습니다. 오히려 스펙상으로는 최강자일수도...
      • 해외 구매 (Amazon, Ebay 등)에 부담이 없는 경우에는 한번 알아보는 것도 도움이 될 듯.
        아마존 직구는 11번가에서 구매하시는게 나을 수도 있습니다. 
      댓글
    • 댓글 입력
    • 에디터 전환
    댓글 쓰기 에디터 사용하기 닫기
    • view_headline 목록
    • 14px
    • 목록
      view_headline
    4
    × CLOSE
    기본 (0) 제목 날짜 수정 조회 댓글 추천 비추
    분류 정렬 검색
    등록된 글이 없습니다.
    • 세상의 모든 계산기 계산기 뉴스/정보
    • 세상의모든계산기
    • 사업자등록번호 703-91-02181
    • 세모계 all rights reserved.